Ізотіазол
Ізотіазол або 1,2-тіазол – це тип органічної сполуки, що містить п'ятичленне ароматичне кільце, яке складається із трьох атомів вуглецю, одного атома азоту та одного атома сірки.[3] Ізотіазол відноситься до класу сполук, відомих як азоли.
| Ізотіазол | |
|---|---|
![]() Повна структурна формула |
![]() |
![]() Модель |
![]() Модель |
| Назва за IUPAC | 1,2-тіазол |
| Інші назви | ізотіазол |
| Ідентифікатори | |
| Номер CAS | 288-16-4 |
| PubChem | 67515 |
| Номер EINECS | 811-077-2 |
| ChEBI | 35600 |
| SMILES |
n1sccc1 |
| InChI |
1/C3H3NS/c1-2-4-5-3-1/h1-3H |
| Номер Бельштейна | 103774 |
| Номер Гмеліна | 636385 |
| Властивості | |
| Молекулярна формула | C3H3NS |
| Молярна маса | 85,12 г/моль |
| Молекулярна маса | 85,12 |
| Зовнішній вигляд | рідина |
| Ткип | 114 °C (237 °F; 387 K) [1] |
| Кислотність (pKa) | -0.5[2] |
| Небезпеки | |
| ГГС піктограми | ![]() ![]() |
| Якщо не зазначено інше, дані наведено для речовин у стандартному стані (за 25 °C, 100 кПа) | |
| Інструкція з використання шаблону | |
| Примітки картки | |
Історія
Ізотіазоли – це відносно новий клас гетероциклічних сполук. 1,2-тіазол вперше отримано у 1956 р. На той час досить добре були досліджені 1,2-азоли, причому не тільки теоретично, а й в плані практичного застосування.
Подальший активний розвиток хімії ізотіазолів, інтенсивні розробки методів синтезу і вивчення хімічних перетворень його похідних, виконані у 1960-1990 рр., обумовлені насамперед надзвичайно широким діапазоном корисних властивостей, виявлених серед цього класу сполук.
Першопочаткові відомості з хімії ізотіазолів було описано в оглядах Вулдріджа.[4][5] Найбільш повне узагальнення результатів досліджень зроблено в монографії Губена-Вейля[6], у якій міститься більше 500 посилань до 1992 року включно.
Синтез
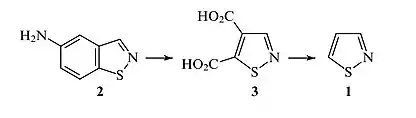
Вперше ізотіазол (1) отримано окисненням 5-амінобензо-1,2-ізотіазолу (2) лужним розчином перманганату калію з наступним декарбоксилюванням ізотіазол-4,5-дикарбонової кислоти (3).

Пізніше ізотіазоли синтезували із більш простих і доступних речовин.
Синтез ізотіазолів на основі реакцій циклізації
Основні методи побудови ізотіазольного циклу базуються на реакціях циклізації сполук, що містять фрагменти , і гетероциклізації сполук, які у своєму складі мають атоми азоту, сірки і вуглецю.
Так, різноманітні 5-амінопохідні ізотіазолу (1) можуть бути отримані окисненням амідів 2-аміноалк-1-ентіокарбонових кислот (2).[7]

R = Et, Pri, Bun, Bui, But, cyclo-C6H11
При окисненні амідів 3-аміно-3-(диалкіламіно)тіоакрилової кислоти (2) утворюються 3,5-диамінопохідні тіазолу (1).[8]
.jpg.webp)
R = Alk
Сполуки, які містять у положенні 1,3 тіокарбонільну та іміно- чи аміногрупи, при дії окисників також циклізуються з утворенням ди- і тризаміщених ізотіазолів.

Синтез ізотіазолів з інших гетероциклічних сполук
Методи синтезу ізотіазолів з інших гетероциклічних сполук відносяться до найдавніших, проте сьогодні вони широко використовуються.
- 3,5-дизаміщені ізотіазоли (1) отримано з ізоксазолів (2) при їх взаємодії з фосфор (V) сульфідом у піридині.[9]

R = H, MeO
- 2,5-Дизаміщені фурани реагують з етилкарбаматом та тіоніл хлоридом з утворенням 5-ацилізотіазолу.

- 1,2-Дитіолієві солі реагують з аміаком при охолодженні з утворенням дизаміщених ізотіазолів.

- Диціанометилендитіазоли рецилізуються з утворенням ізотіазолів при дії бромоводню.

Фізичні властивості
Ізотіазол - це безбарвна рідина з температурою кипіння 114,1 °C. Має характерний неприємний запах. Важко розчинна у воді. Є добрим розчинником для багатьох органічних речовин.
Хімічні властивості
- Електрофільне заміщення. Серед 1,2-азолів ізотіазол проявляє найнижчу реакційну здатність у реакціях електрофільного заміщення. Воно відбувається за участю 4 положення.

- N-Алкілювання. Ізотіазоли, що містять гідроксильну групу в 3 чи 5 положенні, зазнають алкілювання по атому Нітрогену при дії таких реагентів як діазометан чи диметилсульфат.

- Галогенування. 3-Гідроксиізотіазол реагує з POBr3 з утворенням 3-бромоізотіазолу. Натомість аналогічна реакція з PBr3 відбувається до утворення 3,4-дибромоізотіазолу.

- Реакції нуклеофільного заміщення. Ізотіазоли, що містять в 3 чи 5 положенні галоген, легко вступають у реакції нуклеофільного заміщення.

- Реакції окиснення. Ізотіазоли при дії пероксикислот зазнають окиснення з утворенням відповідних сульфоксидів.

Застосування
Ізотіазоли використовують у кольоровій фотографії як стабілізатор фотоматеріалів.[10]
Одержані на основі ізотіазолів пеніциліни та цефалоспорини є високоефективними медичними препаратами. В останнє десятиліття ХХ ст. серед ізотіазолів знайдено препарати для лікування хвороби Альцгеймера[11], злоякісних пухлин, психічних розладів, вірусних інфекцій. Ізотіазоли є інгібіторами різноманітних ферментів, а також використовуються як пестициди. Сахарин є замінником цукру у раціоні хворих на діабет.
Приклади застосування сполук ізотіазолу:

Див. також
Примітки
- Izothiazoles, D. W. Brown and M. Sainsbury, page 513
- Zoltewicz, J. A. & Deady, L. W. Quaternization of heteroaromatic compounds. Quantitative aspects. Adv. Heterocycl. Chem. 22, 71-121 (1978).
- Гетероциклічна хімія ', 3-е видання, Дж. Джоул, К. Міллз та Г.Ф. Сміт, сторінка 394
- R.Slack, K.R.H. Wooldridge. Adv. Heterocycl. Chem.,4, 107 (1965)
- K.R.H. Wooldridge.Adv. Heterocycl. Chem.,14,1 (1972)
- Губен - Вейль. Методы органической химии, пер. с нем., 4 изд., т. 2, М., 1963, с. 631; Обтемперанская С. И., "Ж. аналит. химии", 1992
- R.E. Hackler, K.W. Burow Jr, S.V. Kaster, D.I. Wickiser J. Heterocycl. Chem. 26, 1575 (1989)
- M.T. Cocco, C.Congiu, A. Maccioni, V. Onnis, M.L. Schivo, A De Logu Farmaco, 49, 137 (1994); Chem. Abstr., 121, 205259 (1994)
- Bhavana, S. Hastak, B.J. Ghiya Ind. J. Heterocycl. Chem., 2, 133 (1992); Chem. Abstr. 118 212 952 (1993)
- Journal of Chemical Sciences 123 (2). 2011-03. с. 241–241.
- Пат. 5409946 США; Chem. Abstr. , 123, 55872 (1995)
Джерела
- Р.В. Кабердин, В.И. Поткин, Успехи химии , 71, 764 (2002)
- The Chemistry of Heterocycles: Nomenclature and Chemistry of Three to Five Membered Heterocycles / Vishnu Ji Ram, Arun Sethi, Mahendra Nath, Ramendra Pratap // Elsevier, 5 черв. 2019 р. - 500 стор.





