Актиноміцин
Актиноміцини — антибіотики, які блокують матричну ДНК. Актиноміцин D — антибіотик, який продукується бактерією Streptomyces antibioticus й використовується як цитостатичний препарат у терапії декотрих онкологічних захворювань. Актиноміцин D є першим антибіотиком, у якого була виявлена протипухлинна активність.
![]() | |
| Систематична назва (IUPAC) | |
| 2-amino-N,N'- bis[(6S,9R,10S,13R,18aS)- 6,13-diisopropyl- 2,5,9-trimethyl- 1,4,7,11,14-pentaoxohexadecahydro- 1H-pyrrolo[2,1-i] [1,4,7,10,13] oxatetraazacyclohexadecin- 10-yl]- 4,6-dimethyl- 3-oxo- 3H-phenoxazine- 1,9-dicarboxamide | |
| Ідентифікатори | |
| Номер CAS | |
| Код ATC | L01 |
| PubChem | |
| DrugBank | |
| Хімічні дані | |
| Формула | C62H86N12O16 |
| Мол. маса | 1255.42 г/моль |
| Синоніми | 2-Amino- 4,6-dimethyl- 3-oxo- 3H-phenoxazine- 1,9-dicarboxylic acid bis- [(5,12-diisopropyl- 9,13,16-trimethyl- 4,7,11,14,17-pentaoxo- hexadecahydro- 10-oxa- 3a,6,13,16-tetraaza- cyclopentacyclohexadecen- 8-yl)- amide] |
| Фармакокінетичні дані | |
| Біодоступність | ? |
| Зв'язування | 5% |
| Метаболізм | ? |
| Період напіврозпаду | 36 годин |
| Виділення | ? |
| Терапевтичні застереження | |
| Кат. вагітності |
? |
| Лег. статус | |
| Використання | ? |
Токсичність актиноміцину є перешкодою для лікування інфекційних хворіб.
Синтез та властивості
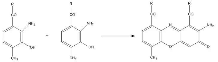
Актиноміцин синтезується за окисної конденсації 4-метил-3-оксі-4-метилбензойної кислоти, а сама 4-метил-3-оксі-4-метилбензойна кислота є продуктом метаболізму у мікроорганізмі-продуценті і є лабільною сполукою (ортоамінофенол), що робить можливим перебігання реакції окисної конденсації як ферментативним, та й неферментативним шляхами.

Виділення з продуктів гідролізу актиноміцину дезаміноактиноциніл-біс-L-треоніну й синтез цієї сполуки показали, що зв'язок хромофору із пептидною астиною молекули здійснюється за участі карбоксильних груп при атомах С-4 й С-5 актиноцину[1].
Триптофан є попередником у біосинтезі актиноміцину, оскільки радіоактивність -триптофану включається до хромофору актиноміцину[2], гомологи триптофану інгібують синтез актиноміцину, а декотрі продукти триптофанового циклу й 4-метил-3-оксі-4-метилбензойна кислота стимулюють його.

Вільна 4-метил-3-оксі-4-метилбензойна кислота знаходиться у міцелії Streptomyces antibioticus у слідових кількостях[4]. Вона бере початок від бензольного циклу триптофану, її метильна група — від S-метильної групи метионіну. Можливим попередником 4-метил-3-оксі-4-метилбензойної кислоти є 4-метил-3-оксі-кінуреїн, оскільки у міцелії стрептоміцетує фермент, який каталізує 4-метил-3-оксі-4-метилбензойну кислоту у 4-метил-3-оксі-кінуреїн[5].
Біосинтез відбувається у другій стадії розвитку мікроорганізмів[6], але можливі й паралельні ріст та синтез антибіотику[7].
Примітки
- Э.Шрёдер, К.Любке - Пептиды, том 2, с.500.
- SIVAK A, MELONI ML, NOBILI F, KATZ E. Biosynthesis of the actinomycin chromophore. Studies with DL-[7alpha-14C] tryptophan and L-[Me-14C] methionine. Biochim Biophys Acta. 1962 Feb 26;57:283–289.
- Thayaparan Paramanathan, Ioana Vladescu, Micah J. McCauley, Ioulia Rouzina2 and Mark C. Williams1 - Force spectroscopy reveals the DNA structural dynamics that govern the slow binding of Actinomycin D.
- Weissbach H., Redfield B., Beaven V. //J. Biological chemistry, 1965, vol.240, p.4377-4381.
- Periman D., Otani S., Periman K.//J.Antibiot. 1973,. Vol.23. P.289-296.
- Gross W., Katz E. - Application microbiology. 1957, vol.5, p.95-102.
- Williams W., Katz E. - Antimicrib. Agents Chemother. 1977, vol.11, p.281-390.
