Амигдалін
Амигдалі́н (від грец. ἀμυγδάλη — мигдаль) — генцібіозід нітрилу мигдалевої кислоти C20H27O11N·3H2O, глікозид, що міститься в кісточках багатьох рослин роду слив (Prunus), надаючи їм гіркого смаку. Вперше виділений з гіркого мигдалю Prunus amygdalus var. amara. Ромбічні кристали з температурою плавління 215 °C.
| Амигдалін | |
|---|---|
![]() | |
![]() | |
| Назва за IUPAC | [(6-O-β-D-glucopyranosyl-β-D-glucopyranosyl)oxy](phenyl)acetonitrile |
| Ідентифікатори | |
| Номер CAS | 29883-15-6 |
| PubChem | 34751 |
| Номер EINECS | 249-925-3 |
| KEGG | C08325 |
| Назва MeSH | Amygdalin |
| ChEBI | 17019 |
| SMILES |
O[C@@H]3[C@@H](O)[C@H](O)[C@@H](CO)O[C@H]3OC[C@H]2O[C@@H](OC(C#N)c1ccccc1)[C@H](O)[C@@H](O)[C@@H]2O |
| InChI |
1/C20H27NO11/c21-6-10(9-4-2-1-3-5-9)30-20-18(28)16(26)14(24)12(32-20)8-29-19-17(27)15(25)13(23)11(7-22)31-19/h1-5,10-20,22-28H,7-8H2/t10-,11+,12+,13+,14+,15-,16-,17+,18+,19+,20+/m0/s1 |
| Номер Бельштейна | 66856 |
| Властивості | |
| Молекулярна формула | C20H27NO11 |
| Молярна маса | 457,43 г/моль |
| Небезпеки | |
| NFPA 704 |
![]() 0
1
0
|
| Пов'язані речовини | |
| Пов'язані речовини | vicianin, laetrile |
| Якщо не зазначено інше, дані наведено для речовин у стандартному стані (за 25 °C, 100 кПа) | |
| Інструкція з використання шаблону | |
| Примітки картки | |
У плодах мигдалю амигдалін синтезується в процесі дозрівання з пруназину — глікозиду нітрилу мигдалевої кислоти[1].
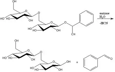
Молекула амигдаліну містить два гідролітично лабільні ефірні зв'язки і в присутності деяких ферментів, а також кислот, може гідролізуватися з утворенням дрібніших фрагментів. Залежно від хімічного складу середовища гідроліз може відбуватися по одному або ж по обидвох ефірних зв'язках. Напрямок гідролізу залежить від виду каталітичного впливу: в присутності емульсину (природний фермент мигдалю) і при неферментативному кислотному гідролізі розщеплення йде по обох зв'язках, при цьому з однієї молекули амигдаліну утворюються дві молекули глюкози і аглікон — манделонітрил (нітрил мигдалевої кислоти).
У присутності бета-глікозидази гідроліз йде тільки за глікозидною групою, при цьому утворюються дисахарид генцибіоза та манделонітрил. У всіх випадках продуктом гідролізу є манделонітрил, який є ціангідрином та перебуває в термодинамічній рівновазі з продуктами свого негідролітичного розщеплення - бензальдегідом і ціанистим воднем (водний розчин якого відоміший як синильна кислота):
Бензальдегід та ціановодень — леткі, й у низьких концентраціях, незважаючи на несхожість хімічної будови, мають дуже схожий запах. Тож, характерний запах гіркого мигдалю обумовлений обома речовинами одночасно.
У шлунковому соку людини амигдалін гідролізується спочатку з відщепленням глюкози до пруназину, а потім під дією пруназин-β-глюкозідази до глюкози та манделонітрилу[2], подальший розпад манделонітрилу з утворенням синильної кислоти й обумовлює токсичність мигдалін гіркого мигдалю, кісточок персика, абрикоса, вишні, яблука й деяких інших фруктів. Прийом внутрішньо 50-60 г фруктових кісточок, які містять амигдалін може привести до важкого і навіть смертельного отруєння дорослої людини.
Гіркі сорти мигдалю із вмістом амигдаліну донині використовуються, щоб отримувати гірко-мигдалеву воду — водно-спиртовий дистилят, який містить близько 0,5% манделонітрилу, що становить приблизно 0,1% концентрації синильної кислоти.
Амигдалін не використовується в медицині, проте під торговою назвою «лаетрил» (англ. laetril) пропагується представниками «альтернативної медицини» як вітаміноподібний препарат (так званий вітамін B17) і протираковий засіб[3][4], але, як такий, категорично відкидається Адміністрацією харчових продуктів і ліків США (FDA), Американським онкологічним товариством, Американською медичною Асоціацією (AMA) і деякими іншими організаціями[5]. Відомі випадки отруєння «лаетрилом», у тому числі при прийомі його в комбінації з високими дозами вітаміну C, який знижує у тканинах рівень цистеїну, що зв'язує in vivo ціанистий водень[6].
Див. також
Примітки
- Sánchez-Pérez, Raquel; Kirsten Jørgensen, Carl Erik Olsen, Federico Dicenta, Birger Lindberg Møller (2008-03). Bitterness in Almonds. Plant Physiology 146 (3): 1040–1052. ISSN 0032-0889. doi:10.1104/pp.107.112979.
- Shim, Soon-Mi; Hoonjeong Kwon (2010-12). Metabolites of amygdalin under simulated human digestive fluids. International Journal of Food Sciences and Nutrition 61 (8): 770–779. ISSN 1465-3478. doi:10.3109/09637481003796314. Процитовано 12 серпня 2011.
- Витамин В17 | AlterMedicina.com. Архів оригіналу за 3 вересня 2011. Процитовано 8 вересня 2011.
- Онкологический портал — Витамин (В17) против рака?
- Витамин В17
- Bromley, Jonathan; Brett GM Hughes, David CS Leong, Nicholas A Buckley (2005). Life-Threatening Interaction Between Complementary Medicines: Cyanide Toxicity Following Ingestion of Amygdalin and Vitamin C. The Annals of Pharmacotherapy 39 (9): 1566 –1569. doi:10.1345/aph.1E634. Процитовано 12 серпня 2011.[недоступне посилання з лютого 2019]
Література
- Амигдалін // Энциклопедический словарь Брокгауза и Ефрона : в 86 т. (82 т. и 4 доп. т.). — СПб., 1890—1907. (рос. дореф.)



