Атропін
Атропі́н (лат. Atropinum) — алкалоїд, блокатор М-холінорецепторів, алкалоїд беладони, блекоти, дурману та деяких інших рослин родини пасльонових; одержаний синтетично.
![]() | |
|---|---|
Атропін
| |
| Систематизована назва за IUPAC | |
| (RS)-(8-methyl-8-azabicyclo[3.2.1]oct-3-yl) 3-hydroxy-2-phenylpropanoate | |
| Класифікація | |
| ATC-код | A03 |
| PubChem | |
| CAS | |
| DrugBank | |
| Хімічна структура | |
| Формула | C17H23NO3 |
| Мол. маса | 289.369 г/моль |
| Фармакокінетика | |
| Біодоступність | 25% |
| Метаболізм | печінка |
| Період напіввиведення | 2 години |
| Екскреція | нирки |
| Реєстрація лікарського засобу в Україні | |
Пригнічує реакцію багатьох органів і тканин на імпульси, що надходять парасимпатичними нервовими волокнами, а також їх чутливість до введеного ззовні ацетилхоліну.
Атропін зменшує секрецію залоз, викликає розслаблення гладеньких м'язів шлунка й кишок, бронхів, жовчних шляхів, колового м'яза райдужки, прискорює серцебиття, підвищує збудливість дихального центра.
Атропін оптично неактивний: складається з активного і малоактивного правообертального ізомерів. Фізіологічною дією володіє лише лівообертальний енантиомер (-)-гіосцинамін. Природним алкалоїдом, який міститься у рослинах, є гіосцинамін; при хімічному виділенні алкалоїду він в основному перетворюється на рацемічну форму — атропін[1].
Хімічні властивості
Білий кристалічний порошок без запаху. Легко розчинний у воді та спирті, практично не розчинний у етерах. Топиться за температури 190С із розкладанням. Розчини мають нейтральну реакцію; для стабілізації ін'єкційних розчинів додають розчин хлоридної кислоти рН 3,0-4,5, стерилізують за температури +100С протягом 30 хв. Атропін утворюється з гіосціаміну в результаті рацемізації за температури 114—116С, за вищої температури утворюється апотропін, який не має фармакологічної активності атропіну.
Виявлення
- За фізико-хемічними константами: ІЧ-спектроскопія і оптичне обертання.
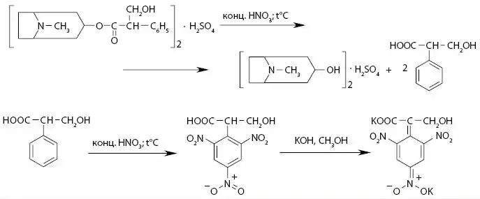
- При дії на краплю досліджуваного розчину атропіну каплею насиченого розчину бромної води миттєво виділяються жовті й червоно-бурі кристали рисоподібної та голчастої форми розміром 0,04-0,01 мм[2].

3. Реакція Віталі-Морена — на тропову кислоту[3]. Реакція є неспецифічною.

4. Субстанція дає реакцію на сульфати.
5. Субстанція дає загальну реакцію на алкалоїди — реакція із розчином калій йодвісмутату у кислому середовищі; утворюється помаранчево-червоний осад.
6. Утворення бензальдегіду (запах гіркого мигдалю) при нагріванні атропіну з сульфатною концентровною кислотою у присутності кисталика калій дихромату[4].
Клінічне значення
У медичній практиці застосовують атропіну сульфат (Atropini sulfas). Застосовується при виразковій та жовчнокам'яній хворобі, коліках, бронхіальній астмі з метою зняття спазму; в очній практиці — для розширення зіниць і тимчасового позбавлення ока здатності до акомодації, в хірургії та анестезіології — для премедикації.
При отруєнні атропіном застосовують пілокарпіна гідрохлорид (0,2-0,25 мг/кг 1 % розчину підшкірно). При отруєнні фосфорорганічними сполуками, мускарином застосовують атропіну сульфат (0,5-1 мг 0,1 % розчину внутрішньовенно до отримання ефекту)[5].
Примітки
- Губський Ю.І. - Біоорганічна хімія, 2005. ISBN 966-7890-71-6.
- Позднякова В.Т. - Микрокристалло-скопические реакции на алкалоиды.
- АЛКАЛОЇДИ ТРОПАНОВОГО РЯДУ | Фармацевтична енциклопедія (укр.). Процитовано 24 березня 2020.
- ПНУ ім.В.Стефаника - Хімічна токсикологія: курс лекцій.
- Єфімов А.С. та ін - Енциклопедія сімейного лікаря, книга 1, с.72.
Джерела
- Українська радянська енциклопедія : у 12 т. / гол. ред. М. П. Бажан ; редкол.: О. К. Антонов та ін. — 2-ге вид. — К. : Головна редакція УРЕ, 1974–1985.
- АТРОПІНУ СУЛЬФАТ Фармацевтична енциклопедія
Література
- Фармацевтична хімія : [арх. 11 березня 2021] : підручник / ред. П. О. Безуглий. — Вінниця : Нова Книга, 2008. — 560 с. — ISBN 978-966-382-113-9. (С.29,400,404-406, 407-408)
- Фармакологія: підручник / І. В. Нековаль, Т. В. Казанюк. — 4-е вид., виправл. — К.: ВСВ «Медицина», 2011.— 520 с. ISBN 978-617-505-147-4 (С.?)
