Бета-лист
Бета-лист (β-лист, бета-шар або складчастий шар) — типовий елемент вторинної структури білків, що складається з бета-ланцюгів, сполучених разом трьома або більше поперечними водневими зв'язками, утворюючи зазвичай завитий складчастий шар. Бета-ланцюг (або β-ланцюг), складова частина бета-листа, є ланцюжком амінокислот зазвичай 5-10 амінокислот у довжину, пептидні ланцюги якого майже максимально розтягнуті.

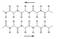
Діаграма β-листа із вказанням водневих зв'язків між білковими ланцюгами.
Бета-листи мають тенденцію зв'язуватися один з одним, неспецифічне зв'язування такого типу між різними білками може сформувати агрегати та волокна, характерні для кількох хвороб, наприклад, амілоїдозу.
This article is issued from Wikipedia. The text is licensed under Creative Commons - Attribution - Sharealike. Additional terms may apply for the media files.