Вальденівська інверсія
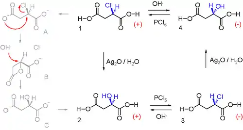
Вальденівська інверсія (рос. вальденовское обращение, англ. Walden inversion) — інверсія конфігурації асиметричного центра молекули під час хімічної реакції, коли хімічна форма Хabcd (де Х—карбон), маючи дане тетраедральне розташування зв'язків щодо Х, перетворюється в хімічну форму Хabcе, яка має протилежну відносну конфігурацію. Характерне для SN2 реакцій, в яких при тетраедричному атомі C входження реагенту і від'єднання відхідної групи відбуваються синхронно таким чином, що реагент входить зі сторони, протилежної до відхідної групи, наслідком чого настає обернення хіральної конфігурації. В реакціях SN1, інтермедіатом яких виступають карбенієві йони, ймовірна атака з кожної із двох сторін площини утворюваного йона, і спостерігається повна або часткова рацемізація.

Наявність такої інверсії під час хімічного перетворення іноді вказують у хімічному рівнянні за допомогою стрілковидного символу від реактантів до продуктів, вказаного на поданій тут схемі.
Література
- Глосарій термінів з хімії / уклад. Й. Опейда, О. Швайка ; Ін-т фізико-органічної хімії та вуглехімії ім. Л. М. Литвиненка НАН України, Донецький національний університет. — Дон. : Вебер, 2008. — 738 с. — ISBN 978-966-335-206-0.
