Винна кислота
Винна кислота (диоксибурштинова кислота, 2,3-дигідроксибутандіонова кислота, тартратна кислота) НООС-СН(ОН)-СН(ОН)-СООН — двохосновна оксикислота. Її солі називають тартрáтами.
| D-винна кислота | |
|---|---|
![]() | |
![]() | |
| Систематична назва | 2S,3S-дигідроксибутандіонова кислота |
| Інші назви | виннокам'яна кислота |
| Ідентифікатори | |
| Номер CAS | 147-71-7 |
| PubChem | 439655 |
| Номер EINECS | 610-885-0 |
| Назва MeSH | tartaric+acid |
| ChEBI | 15674 |
| SMILES |
O=C(O)C(O)C(O)C(=O)O |
| InChI |
InChI=1S/C4H6O6/c5-1(3(7)8)2(6)4(9)10/h1-2,5-6H,(H,7,8)(H,9,10) |
| Номер Бельштейна | 4666811 |
| Номер Гмеліна | 3214 |
| Властивості | |
| Молекулярна формула | C4H6O6 |
| Молярна маса | 150,09 г/моль |
| Зовнішній вигляд | білий порошок |
| Густина | 1,7598 г/см³ (20 °C) |
| Тпл | 171-174 °C |
| Розчинність (вода) | 139,44 г/100 г |
| Розчинність (етанол) | 20,40 г/100 г (18 °C) |
| Оптична активність [α]D | +11,98° (вода) |
| Якщо не зазначено інше, дані наведено для речовин у стандартному стані (за 25 °C, 100 кПа) | |
| Інструкція з використання шаблону | |
| Примітки картки | |
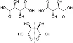
Ізомерія
Відомі три стереоізомерних форми винної кислоти: D-(-)-енантіомер (зліва вгорі), L-(+)-енантіомер (справа вгорі) і мезо-форма (мезовинна кислота).

Рацемічна суміш енантіомерних винних кислот (D,L-винна) відома як виноградна кислота.
Добування
Винна кислота — поширена природна сполука. У значній кількості вона міститься в кислому соку багатьох фруктів, наприклад, у виноградному соку. D-винну кислоту отримують дією мінеральних кислот на її кислу калійну сіль (винний камінь), що утворюється при бродінні виноградного соку.
Мезовинна кислота утворюється при тривалому кип'ятінні будь-яких форм винної кислоти в розчині лугу, також при стереоселективному окисненні малеїнової кислоти (KMnO4 або OsO4).
L-винну кислоту виділяють із виноградної кислоти.
Властивості
Кислотність при 25 °C:
D, L-: pKa1 = 2,95, pKa2 = 4,25 мезо-: pKa1 = 3,22, pKa2 = 4,85
Мезовинна кислота має температуру плавлення 140 °C, густину 1,666 г/см³ (20 °C), розчинність 125 г/100 г води.
Хімічні властивості
При піролізі D-винна кислота декарбоксилюєтся з утворенням піровиноградної СН3СОСООН, піровинної (метилбурштинової) НООССН(СН3)-СН2СООН кислот та вуглекислого газу. Вона відновлюється до бурштинової кислоти, дає реакцію срібного дзеркала; в лужному середовищі розчиняє Cu(ОН)2 з утворенням прозорого яскраво-синього розчину — реактиву Фелінга.
Застосування
Застосовується в харчовій промисловості (харчова добавка Е334), в медицині, для добування її естерів і солей (тартрати), в аналітичній хімії у складі реактиву Фелінга для виявлення альдегідів, при фарбуванні тканин тощо.
Джерела
- Винные кислоты // Химическая энциклопедия : в 5 т. / гл. ред. И. Л. Кнунянц. — М. : Сов. энцикл., 1988. — Т. 1 : Абляционные материалы — Дарзана реакция. — Стб. 725. — Библиогр. в конце ст. — ISBN 5-85270-008-8.(рос.)

