Гепарин
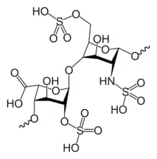
Гепарин — сульфатований глікозаміноглікан змішаної полісахаридної природи, з різною молекулярною масою. До його складу входять полімери, похідні D-глікозаміну і L-ідуронової кислоти або D-глюкуронової кислоти. Він звільняється тканинними базофілами, базофілами крові і наявний у багатьох тканинах, зокрема, в печінці та легенях. Гепарин перешкоджає зсіданню крові.
![]() | |
|---|---|
Гепарин
| |
| Систематизована назва за IUPAC | |
| Heparin | |
| Класифікація | |
| ATC-код | B01 |
| PubChem | |
| CAS | |
| DrugBank | |
| Хімічна структура | |
| Формула | C12H19NO20S3 |
| Мол. маса | 12000-15000 г/моль |
| Фармакокінетика | |
| Біодоступність | |
| Метаболізм | |
| Період напіввиведення | |
| Екскреція | |
| Реєстрація лікарського засобу в Україні | |

Виробляється в організмі тварин і людини. Міститься у печінці, легенях, скелетних м'язах. Його молекулярна маса становить 10 000 - 20 000 дальтон.
Фармакотерапевтична група
Антитромботичні засоби. Прямі антикоагулянти на основі гепарину і його похідних.
Код АТС: В01АВ01.
Покази до застосування
- Профілактика тромбозу глибоких вен і тромбоемболії легеневої артерії.
- Лікування тромбозу глибоких вен, тромбоемболії легеневої артерії, гострого коронарного синдрому (ГКС), інфаркту міокарда, гострої оклюзії периферичних судин.
- Профілактика зсідання крові при екстракорпоральному кровообігу і гемодіалізі.
Джерела
Література
- Гепарин і гепариноїди у клінічній практиці : Моногр. / Б. Ковалів, Ю. Б. Ковалів, І. Ковалів; Львів. держ. мед. ун-т ім. Д.Галицького, Наук. т-во ім. Шевченка. - Л., 2003. - 347 c.
This article is issued from Wikipedia. The text is licensed under Creative Commons - Attribution - Sharealike. Additional terms may apply for the media files.
