Глікалі
Глікалі (англ. Glycal) — назва похідних циклічних енольних етерів цукрів, які мають подвійний зв’язок тільки між атомами С-1 та С-2 кільця[1]. Глікалі - похідні пентоз й генксоз. Вперше були отримані Фішером та Цахом у 1913[2].
Інтерес до хімії глікалів викликана у зв'язку із задачами енантиоспецифічного синтезу. Глікальний підхід розглядається в якості одного з методів синтезу глікозидів й олігосахаридів. Важливе значення у цьому випадку мають реакції електрофільного приєднання по подвійному зв'язку глікалів.
Серед реакцій, які мають особливе значення для цілеспрямованої модифікації глікалів, є реакція Фер'є, яка перебігає як -заміщення із алільним перегрупуванням. Таким чином перебігають реакції спиртів й тіолів під дією кислот Льюїса; -глікозилювання катіонактивними алкенами, алілсіланами, енолсиліловими етерами; комбінація із аренами, малонатами й арілгалогенідами у присутності металокомплексних каталізаторів; синтез N-нуклеозидів.
Синтез
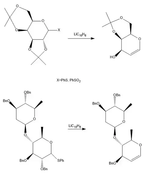
При синтезі глікалів з S-глікозидів та їх окисненихпохідних застосовується нафталід літію.

Значення і застосування
На основі глікалів можна отримати блок-синтони, які мають препаративну цінність завдяки енантиометрній чистоті похідних й синтезованих хіральних центрів та наявності реакційноздатних функціональних груп, максимально зручних для наступних трансформацій.
Глікалі є джерелами хірального вуглецю, які мають загальне значення для синтезу складних природних сполук, їх аналогів та похідних[3].
Джерела
- Й.Опейда, О.Швайка - Глосарій термінів з хімії.
- E.Fischer,. K.Zach. Sitz. ber. Kgl. preuss. Akad. Wiss., 16,311 (1913).
- А.Г.Толстиков, Г.А.Толстиков - Гликали в энантиоспецифическом синтезе.