Глікозилювання за Форбрюггеном
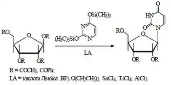
Глікозилювання за Форбрюггеном (рос. гликозилирование по Форбрюггену, англ. Vorbrüggen glycosylation) — хімічна реакція силільованих гетероциклічних основ з перацильованими цукрами в присутності кислот Льюїса з утворенням натуральних нуклеозидів. Якщо у молекулі цукру відсутній 2α-ацилокси замісник, одержується аномерна суміш.[1]

Глікозилювання за Форбрюггеном
Література
- Глосарій термінів з хімії / уклад. Й. Опейда, О. Швайка ; Ін-т фізико-органічної хімії та вуглехімії ім. Л. М. Литвиненка НАН України, Донецький національний університет. — Дон. : Вебер, 2008. — 738 с. — ISBN 978-966-335-206-0.
Примітки
This article is issued from Wikipedia. The text is licensed under Creative Commons - Attribution - Sharealike. Additional terms may apply for the media files.