Глікопептиди
Глікопептиди — сполуки, що поєднують фрагменти вуглеводів та амніокислот, короткі Глікопротеїни.
Глікопептиди — один із найважливіших класів антибіотиків на сьогодні, що застосовують проти бактерійних патогенів, стійких до інших класів антибіотиків. Сюди належать ванкоміцин, рістоцетин, тейкопланін. Деякі дослідники зараховують блеоміцин та його аналоги до глікопептидів. Хоча це виправдано з хімічної точки зору, біосинтез блеоміцинів (включає нерибосомний та полікетидний синтези) та характер його біологічної дії (сильна протипухлинна активність) відмінний від решти глікопептидів
Синтез
В живих організмах пептидний каркас синтезується на нерибосомних пептидсинтетазах. Крім глікозидної та пептидної частин, глікопептиди можуть містити ацильні залишки різної довжини.
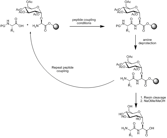
Лабораторне отримання
- Твердофазний пептидний синтез (SPPS)
- NCL

Вуглеводовмісні синтони можна отримати з захищених цукрів
Див. також
Посилання
- [http://gosbeep.net/deep_14/p_41.html[недоступне посилання з липня 2019] Глікопептиди на gosbeep.net][недоступне посилання з жовтня 2019]
Примітки
- Jansson, A. M.; Meldal, M.; Bock, K., The Active Ester N-Fmoc-3-O-[Ac4-Alpha-D-Manp-(1-]2)-Ac3-Alpha-D-Manp-1-]-Threonine-O-Pfp as a Building Block in Solid-Phase Synthesis of an O-Linked Dimannosyl Glycopeptide. Tetrahedron Letters 1990, 31, (48), 6991-6994.
- Elofsson, M.; Walse, B.; Kihlberg, J., Building-Blocks for Glycopeptide Synthesis - Glycosylation of 3-Mercaptopropionic Acid and Fmoc Amino-Acids with Unprotected Carboxyl Groups. Tetrahedron Letters 1991, 32, (51), 7613-7616.
