Гомоцистеїн
Гомоцистеїн — амінокислота с формулою HSCH2CH2CH(NH2)CO2H. Гомоцистеїн є гомологом амінокислоти цистеїну, відрізняється від останнього однією метиленовою групою (-CH2-). Гомоцистеїн в організмі синтезується з метіоніну шляхом відокремлення термінальної Cε метильної групи. Можлива зворотня реакція конвертації у метіонін. У складі білків людського організму не трапляється.
| Гомоцистеїн | |
|---|---|
![]() | |
| Інші назви | 2-аміно-4-меркаптобутанова кислота |
| Ідентифікатори | |
| Абревіатури | Hcy |
| Номер CAS | 454-29-5 |
| Номер EINECS | 207-222-9 |
| KEGG | C05330 |
| Назва MeSH | D02.886.030.498 і D12.125.166.498 |
| ChEBI | 17230 |
| SMILES |
C(CS)C(C(=O)O)N[1] |
| InChI |
InChI=1S/C4H9NO2S/c5-3(1-2-8)4(6)7/h3,8H,1-2,5H2,(H,6,7) |
| Властивості | |
| Молекулярна формула | C4H9NO2S |
| Молярна маса | 135.18 |
| Тпл | 232-233 |
| Якщо не зазначено інше, дані наведено для речовин у стандартному стані (за 25 °C, 100 кПа) | |
| Інструкція з використання шаблону | |
| Примітки картки | |
Біосинтез та біохімічна роль
Гомоцистеїн у їжі відсутній. Він біосинтезується з метіоніну у багатостадійному процесі. Спочатку метіонін аликилюється АТФ з утворенням S-аденозил метіоніну(SAM). Далі за допомогою ензиму цитінозил-5-метил трансферази SAM передає свою метильную группу на цитозин у ДНК, утворюючи аденозилгомоцистеїн. Ензим аденозилгомоцистиназа надалі каталізує гідролиз цієї сполуки до утворення гомоцистеїну.
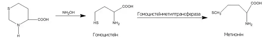
І навпаки, з амінокислоти гомоцистеїну (попередником якої є 1,3-Тіазинан-4-карбонова кислота), у тваринних тканинах під дією кобаламінзалежних ферментів відбувається синтез метионіну:

У ссавців відомі два ферменти, які беруть участь у процесі реметилювання: кобаламін-залежна метионінсинтаза (MS) й бетаїн-гомоцистеїн-S-метилтрансфераза (BHMT). Обидва - цитозольні ферменти, які характеризуються як цинк-залежні метилтрансферази, які у рівній силі беруть участь у реметилюванні гомоцистеїну. MS використовує N-5-метилтетрагідрофолат в якості донора метильних груп й представлена у всіх тканинах; BHMT використовує ендогенне похідне холіну - бетаїн, який може бути отриманий з їжі (пшениця, шпинат, цукровий буряк, молюски, ракоподібні). Фермент BHTM в основному присутній у печінці й кірковій речовині нирок, а у макак-резус знаходиться у кристалічній структурі кришталика ока[2].
Рівень в організмі
Протягом життя рівень гомоцистеїну в крові поступово підвищується. До статевого дозрівання рівні гомоцистеїну в хлопчиків та дівчат приблизно рівні (близько 5 мкмоль/л). У пубертатний період рівень гомоцистеїну підвищується до 6-7 мкмоль/л, але в хлопчиків це підвищення більш виражене, ніж у дівчат. У дорослих рівень гомоцистеїну коливається навколо показників 10-11 мкмоль/л (у чоловіків концентрація гомоцистеїну зазвичай вища, ніж у жінок). З віком рівень гомоцистеїну поступово збільшується, причому в жінок він наростає щвидше, ніж у чоловіків. Поступове зростання рівня гомоцистеїну з віком пояснюють зниженням функції нирок, а вищі рівні гомоцистеїну в чоловіків — більшою м'язовою масою.
Під час вагітності в нормі рівень гомоцистеїну має тенденцію до зниження. Це зниження відбувається зазвичай до початку другого триместру й надалі залишається відносно стабільним. До попереднього рівня концентрація гомоцистеїну повертається за 2-4 дні після пологів. Уважають, що зниження рівня гомоцистеїну при вагітності сприяє плацентарному кровообігу.
Метаболізм гомоцистеїну у значній мірі залежить від рівня вітамінів - кофакторів ферментів цих шляхів. Наприклад, ферменти трансульфірування, цистатіонін-синтаза (CBS) та цистатіонин гама-ліаза (CSE), містять піридоксаль-фосфат (вітамін В6). Метионін-синтаза містить кобаламін (вітамін В12) як простетичну групу й використовує похідне фолієвої кислоти (N-5-метил-тетрагідрофолієву кислоту) в якості донора метильної групи. Тому нестача цих вітамінів часто корелює із гіпергомоцистеїнемією.
Рівень гомоцистеїну в крові може підвищуватися з багатьох причин. Найчастішою причиною підвищення рівня гомоцистеїну (гіпергомоцистеїнемії) є нестача фолієвої кислоти та ціанокобаламіну (вітамінів B9 та B12).
Підвищену схильність до гіпергомоцистеїнемії (ГГЦ) мають курці. Споживання великої кількості кави є одним з чинників, що сприяють підвищенню рівня гомоцистеїну в крові. В осіб, що споживають понад 1 літр кави на добу, рівень гомоцистеїну на 2-3 мкмоль/л вище, ніж в тих, хто не п'є кави взагалі. 1 літр на добу нефільтрованої заварної кави підвищує рівень гомоцистеїну на 10%, а фільтрованої — на 18%[3].
Рівень гомоцистеїну часто підвищується при малорухомому способі життя. Помірні регулярні фізичні вправи сприяють зниженню рівня гомоцистеїну при ГГЦ. Споживання невеликих кількостей алкогольних напоїв може знижувати рівень гомоцистеїну, а великі кількості — навпаки, збільшують рівень гомоцистеїну в крові.
Гомоцистонурія
Захворювання, викликане дефіцитом ферменту цистатіон-бета-синтази (CBS), який бере участь у перетворенні метионіну у цистеїн, проявляється при наявності гомозіготних або компаунд-гетерозіготних мутацій у гені CBS, який локалізований на довгому плечі хромосоми 21 (21q22). Тип успадковування аутосомно-рецесивний. При класичній гомоцистонурії внаслідок недостатності цистатіон-бета-синтази порушується цикл перетворення (метилювання й деметилювання) сірковмісної амінокислоти метионіну[4].
Вплив на здоров'я
Накопичуючись в організмі, гомоцистеїн ушкоджує внутрішню стінку артерій — інтиму, вкриту ендотелієм. Утворюються ушкодження ендотелію, які організм намагається закрити. На ушкоджену поверхню осідають холестерин (ліпопротеїди) й кальцій, утворюючи атеросклеротичну бляшку, яка звужує просвіт судини, а іноді й закупорює, що може призвести до критичного зниження перфузії внаслідок росту бляшки, тромбоутворенню або розриву судини[5]. Підвищення рівня гомоцистеїну крові на 5 мкмоль/л призводить до підвищення ризику атеросклеротичного ураження судин на 80% у жінок та на 60% у чоловіків[6].
Особи з підвищеним рівнем гомоцистеїну мають підвищений ризик виникнення хвороби Альцгеймера та сенільної деменції. Значно зростає ризик ускладнень при поєднанні ГГЦ з цукровим діабетом (захворювання периферичних судин, нефропатія, ретинопатія тощо).
Під час вагітності підвищення рівня гомоцистеїну веде до порушень фетоплацентарного кровообігу, що може бути причиною невиношування вагітності та неплідності в результаті порушення процесу імплантації зародка. На пізніших стадіях вагітності ГГЦ є причиною розцитку хронічної фетоплацентарної недостатності та хріничної внутрішньоутробної гіпоксії плоду. Генералізована мікроангіопатія у другій половині вагітності проявляється у вигляді пізнього гестозу: нефропатії, прееклампсії та еклампсії. Саме підвищені рівні гомоцистеїну під час вагітності є одним з провідних чинників гестозу. При появі перших симптомів гестозу (набряки, швидке збільшення маси тіла, знижений діурез) слід розпочати прийом вітамінів групи В, особливо B12 та фолієву кислоту у збільшених дозах. Ці заходи запобігають розвиткові прееклампсії та еклампсії.
Рекомендується контролювати рівень гомоцистеїну в осіб з артеріальними та/або венозними тромбозами в анамнезі, ішемічною хворобою серця. Обов'язково слід перевіряти рівень гомоцистеїну в пацієнток з акушерською патологією в анамнезі та у жінок, близькі родичі яких мали інсульти, інфаркти чи тромбози у віці до 45-50 років.
Примітки
- DL-Homocysteine
- Наумов А. В., Данильчик И. В., Сарана Ю. В. - ТРИ ПУТИ РЕМЕТИЛИРОВАНИЯ ГОМОЦИСТЕИНА.
- http://umed.in.ua/30/30-030-favorite_drinks_02_coffee-ua.shtml Архівовано 10 грудня 2014 у Wayback Machine. Улюблені напої: пити чи не пити? Ч.2 — Кава
- Гомоцистинурия у детей.
- http://www.rmj.ru/articles_6416.htm Архівовано 22 серпня 2013 у Wayback Machine. Гомоцистеин — предиктор патологических изменений в организме человека
- http://umed.in.ua/99-0005/99-0005-homocysteine.shtml Архівовано 22 грудня 2015 у Wayback Machine. Интерпретация результатов лабораторных исследований. — Гомоцистеин.
Джерела
- Мирошниченко И. И., Птицына С. Н., Кузнецова Н. Н., Калмыков Ю. М. Гомоцистеин — предиктор патологических изменений в организме человека. //Русский Медицинский Журнал. — 27.02.2009. № 4.
Посилання
- https://web.archive.org/web/20140410161354/http://www.medee.ru/laboratory-research/description/gomotsistein Гомоцистеин. (рос.)
- http://spravochnik.synevo.ua/ru/ch8/gomotsistein.html Гомоцистеин. (рос.)
