Гібридна система
Гібридна система є динамічна система стан якої, неформально кажучи, може змінюватись неперервно (наприклад, рух системи може задовольняти розв'язок диференціального рівняння), або дискретно (тобто система може переходити від стану до стану моментально, як скінченний автомат). Таким чином гібридні системи узагальнюють неперервні диференціальні рівняння, диференціальні рівняння з розривними правими частинами (т. зв. системи Філіппова), скінченні автомати, та системи реального часу. Абстрактно гібридні системи можна розглядати як математичні моделі систем керування які знаходять широке застосування в сучасній теорії та практиці автоматичного керування складними процесами.

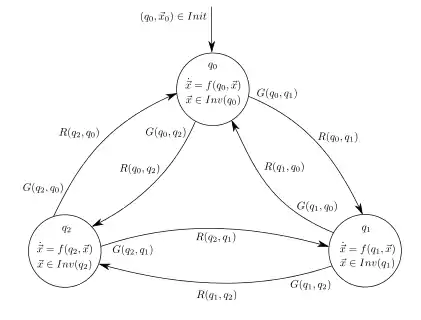
Схема загального гібридного автомата з трьома дискретними станами q0, q1, q2.
Література
Загальна теорія диференціальних рівнянь
- (укр. ) Самойленко, А. М., Кривошея С. А., Перестюк Н. А. Диференціальні рівняння у прикладах і задачах, Вища школа, Київ, 1994.
(також рос. ) Самойленко, А. М., Кривошея С. А., Перестюк Н. А. Дифференциальные уравнения: примеры и задачи, Вища школа, Київ, 1984. (PDF, друге видання, 1989)
Диференціальні рівняння з розривними правими частинами
- (англ. ) di Bernardo, Mario, and Budd, Christopher J., and Champneys, Alan R., and Kowalczyk Piotr. Piecewise-smooth dynamical systems: theory and applications. Vol. 163. Springer Science & Business Media, 2008.
- (англ. ) Filippov, A. F. Differential equations with discontinuous righthand sides. Kluwer Academic Publishers, Netherlands, 1988.
(також рос. ) Филиппов, А. Ф. Дифференциальные уравнения с разрывной правой частью. Матем. сб., том 51(93), номер 1, 99-128, 1960. (URL)
Імпульсивні системи
- (англ. ) Samoilenko, A. M., N. A. Perestyuk, and Y. Chapovsky. Impulsive differential equations. World Scientific, Singapore, 1995.
(також рос. ) Самойленко А. М., Перестюк Н. А. Дифференциальные уравнения с импульсным воздействием. Наукова думка, Київ, 1987. - (англ. ) Haddad, Wassim M., VijaySekhar Chellaboina, and Sergey G. Nersesov. Impulsive and Hybrid Dynamical Systems: Stability, Dissipativity, and Control: Stability, Dissipativity, and Control. Princeton University Press, 2014.
Гібридні системи
- (англ. ) Van Der Schaft, Arjan J., and Johannes Maria Schumacher. An introduction to hybrid dynamical systems. Vol. 251. Springer, 2000. (PDF)
- (англ. ) Tabuada, Paulo. Verification and control of hybrid systems: a symbolic approach. Springer, 2009.
- (англ. ) Lunze, Jan, and Lamnabhi-Lagarrigue, Françoise. Handbook of hybrid systems control: theory, tools, applications. Cambridge University Press, 2009.
- (англ. ) Goebel, Rafal, and Sanfelice, Ricardo G., and Andrew R. Teel. Hybrid Dynamical Systems: modeling, stability, and robustness. Princeton University Press, 2012.
- (англ. ) Platzer, André. Logical analysis of hybrid systems: proving theorems for complex dynamics. Springer, 2010.
- (англ. ) Matveev, Alexey S., and Andrey V. Savkin. Qualitative theory of hybrid dynamical systems. Springer, 2012.
- (англ. ) Haddad, Wassim M., VijaySekhar Chellaboina, and Sergey G. Nersesov. Impulsive and Hybrid Dynamical Systems: Stability, Dissipativity, and Control: Stability, Dissipativity, and Control. Princeton University Press, 2014.
Загальна теорія, специфікація та аналіз гібридних систем
- (англ. ) Labinaz, Gino, Mohamed M. Bayoumi, and Karen Rudie. A survey of modeling and control of hybrid systems. Annual Reviews in Control 21 (1997): 79-92. (PDF)
- (англ. ) Antsaklis, Panos J. A brief introduction to the theory and applications of hybrid systems. Proc IEEE, Special Issue on Hybrid Systems: Theory and Applications. 2000. (PDF)
- (англ. ) Alur, Rajeev, et al. The algorithmic analysis of hybrid systems. Theoretical computer science 138.1 (1995): 3-34. (URL)
- (англ. ) Henzinger, Thomas A. The theory of hybrid automata. Springer, 2000. (PDF)
Проблеми верифікації властивостей гібридних систем
- (англ. ) Alur, Rajeev. Formal verification of hybrid systems. Proceedings of the International Conference on Embedded Software (EMSOFT). IEEE, 2011. (PDF)
- (англ. ) Guéguen, Hervé, and Janan Zaytoon. On the formal verification of hybrid systems. Control Engineering Practice 12.10 (2004): 1253–1267.
- (англ. ) Kowalewski, Stefan. Introduction to the analysis and verification of hybrid systems. Modelling, Analysis, and Design of Hybrid Systems. Springer Berlin Heidelberg, 2002. 153–171.
- (англ. ) Henzinger, Thomas A., et al. What's decidable about hybrid automata?. Proceedings of the twenty-seventh annual ACM symposium on Theory of computing. ACM, 1995. (PDF)
- (англ. ) Alur, Rajeev, Thomas A. Henzinger, and Eduardo D. Sontag. Hybrid systems III: verification and control. Vol. 3. Springer, 1996.
Проблеми стійкості руху в гібридних системах
- (англ. ) Branicky, Michael S. Multiple Lyapunov functions and other analysis tools for switched and hybrid systems. IEEE Transactions on Automatic Control 43.4 (1998): 475–482. (PDF)
- (англ. ) Branicky, Michael S. Stability of hybrid systems. Control Systems, Robotics and Automation, from Encyclopedia of Life Support Systems (EOLSS) (2004). (PDF)
- (англ. ) Ye, Hui, Anthony N. Michel, and Ling Hou. Stability theory for hybrid dynamical systems. 1995., Proceedings of the 34th IEEE Conference on Decision and Control. Vol. 3. IEEE, 1995.(PDF)
Посилання
This article is issued from Wikipedia. The text is licensed under Creative Commons - Attribution - Sharealike. Additional terms may apply for the media files.