Декстран
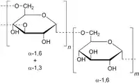
Декстран — полімер із класу полісахаридів. Полімер глюкози.[1] Декстран — полісахарид бактеріального походження.[2] Його хімічна формула (С6Н10О5)n. Ланцюг декстрану є послідовністю ланок, які складаються із з'єднаних між собою атомів кисню і глюкопіранозних кілець.[3]
| Декстран | |
|---|---|
![]() | |
| Ідентифікатори | |
| Номер CAS | 9004-54-0 |
| Номер EINECS | 232-677-5 |
| DrugBank | 09255 |
| KEGG | C00372 |
| Назва MeSH | D05.750.078.562.272 і D09.698.365.272 |
| ChEBI | 52071 |
| SMILES | |
| InChI | |
| Властивості | |
| Молекулярна формула | H(C6H10O5)xOH |
| Молярна маса | Variable |
| Якщо не зазначено інше, дані наведено для речовин у стандартному стані (за 25 °C, 100 кПа) | |
| Інструкція з використання шаблону | |
| Примітки картки | |
Декстран уперше виявлений Луї Пастером як мікробний продукт у вині.[4]
Застосування в медичних цілях
Входить у склад очних крапель для зволоження рогівки або ефекту штучних сліз (допоміжне в акторській діяльності).
Див. також
Джерела
Примітки
- Канюка О. І., Скорохід В. Й., Гуфрій Д. Ф. Клінічна ветеринарна фармакологія. — Київ : В-во УСГА, 1993. — 293 с. ISBN 5-7987-0067-4 (с.:235)
- medexpert.org.ua Тяжелые ожоги заживут без следа — изобретен полимерный гель с уникальными свойствами // Сучасна педіатрія Науково-практичний журнал. — 6(40)/2011 (с.:148)
- Булавін Л. А., Алексєєв О. М., Гаркуша Л. М., Забашта Ю. Ф., Ткачов С. Ю. Конфігураційні переходи у водних розчинах декстрана /// Полімерний журнал Науковий журнал. — 2011. Т.33, №4
- Pasteur, L. (1861). On the viscous fermentation and the butyrous fermentation. Bull. Soc. Chim. Paris (French) 11: 30–31. ISSN 0037-8968.
This article is issued from Wikipedia. The text is licensed under Creative Commons - Attribution - Sharealike. Additional terms may apply for the media files.
