Димеризація
Димериза́ція — реакція полімеризації, що веде до утворення сполуки із подвоєним хімічним складом (димеру). Умовно цей процес зображується схемою:
- A + A → A2
У реакції можуть брати участь не лише молекулярні сполуки, а й радикали:
- CH3• + CH3• → CH3CH3
Подібно до полімеризації, здатність до димеризації найбільш характерна для ненасичених органічних сполук. У промисловості цей тип взаємодій може застосовуваться для отримання деяких речовин, зокрема, вінілацетилену з ацетилену і лимонену з ізопрену (за реакцією Дільса—Альдера):
- HC≡CH + HC≡CH → HC≡C-CH=CH2


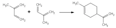
Для деяких ненасичених сполук димеризація супроводжується циклоутворенням. Так, димеризація бута-1,3-дієну за різних умов може давати продуктом 4-вінілциклогексен або ж циклоокта-1,5-дієн:
Димеризація характерна також і для деяких неорганічних сполук. Наприклад, оксиди NO та NO2 у рідкому стані співіснують зі своїми димерами:
Продукти димеризації також включають міжмолекулярні комплекси, до яких можна віднести, наприклад, димери оцтової кислоти й фтороводню, де молекули пов'язані водневими зв'язками.
Джерела
- IUPAC. Compendium of Chemical Terminology / A. D. McNaught, A. Wilkinson. — Edition 2nd. — Oxford : Blackwell Scientific Publications, 1997. — ISBN ISBN 0-9678550-9-8. — DOI: (англ.)
- Thiemann M., Scheibler E., Wiegand K. W. Nitric Acid, Nitrous Acid, and Nitrogen Oxides // Ullmann's Encyclopedia of Industrial Chemistry. — 6th. — Weinheim : Wiley-VCH, 2005. — P. 43—44. — DOI: (англ.)
- Химический энциклопедический словарь / Под ред. И. Л. Кнунянца. — М. : Сов. энциклопедия, 1983. — 792 с. (рос.)


