Дипальмітоїлфосфатидилхолін
Дипальмітоїлфосфатидилхолін (Дипальмітоїллецитин) — ліпід, поверхнево-активна речовина, що знижує поверхневий натяг і тим самим забезпечує незлипання внутрішніх поверхонь легень. За його відсутності виникає синдром дихальної недостатності у недоношених новонароджених. Є складовою легеневого сурфактанту.[1]
| Дипальмітоїлфосфатидилхолін | |
|---|---|
![]() | |
| Ідентифікатори | |
| Номер CAS | 2644-64-6 |
| PubChem | 6138 |
| Номер EINECS | 220-153-9 |
| SMILES |
O=C(OC[C@@H](OC(=O)CCCCCCCCCCCCCCC)COP([O-])(=O)OCC[N+](C)(C)C)CCCCCCCCCCCCCCC |
| InChI |
1/C40H80NO8P/c1-6-8-10-12-14-16-18-20-22-24-26-28-30-32-39(42)46-36-38(37-48-50(44,45)47-35-34-41(3,4)5)49-40(43)33-31-29-27-25-23-21-19-17-15-13-11-9-7-2/h38H,6-37H2,1-5H3/t38-/m1/s1 |
| Властивості | |
| Молекулярна формула | C40H80NO8P |
| Молярна маса | 734,04 г/моль |
| Якщо не зазначено інше, дані наведено для речовин у стандартному стані (за 25 °C, 100 кПа) | |
| Інструкція з використання шаблону | |
| Примітки картки | |

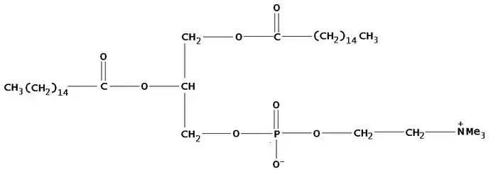
Поверхнево-активні властивості дипальмітоїллецитину обумовлені наявністю у його молекулі одночасно неполярного гідрофобного угрупування, утворюваного вуглеводневими радикалами жирних кислот, і полярного гідрофільного угрупування, утвореного фосфатною й холіновою групами.

Джерела
- Lung surfactant monolayer – A good natural barrier against dibenzo-p-dioxins. Chemosphere (англ.) 240. 1 лютого 2020. с. 124850. ISSN 0045-6535. doi:10.1016/j.chemosphere.2019.124850. Процитовано 27 вересня 2020.
This article is issued from Wikipedia. The text is licensed under Creative Commons - Attribution - Sharealike. Additional terms may apply for the media files.
