Епоксидування
Епоксидування (рос. эпоксидирование[1], англ. epoxidation) — утворення α-оксидного циклу в органiчнiй молекулi внаслідок окиснення подвiйного зв'язку(дiєю гідрогенпероксиду в слаболужному середовищi, надкислот в протоiнертних розчинниках — реакція Прилєжаєва, гiпохлориту натрiю в пiридинi та ін.).

Епоксидування
епоксидування за Шарплессом

епоксидування за Шарплессом
Каталізоване сполуками титану асиметричне епоксидування алілових спиртів з високим ступенем енантіомерної чистоти з передбачуваною стереохімією, використовуючи титан алкоксид, оптично активний тартратний естер та алкіл гідропероксид.
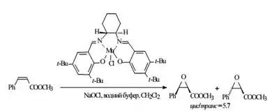
епоксидування за Якобсеном

епоксидування за Якобсеном
Каталізоване сполуками мангану(ІІІ) асиметричне епоксидування алкенів. Енантіо- і діастереоселективність реакції залежить від природи субстрату.
Див. також
Література
- Глосарій термінів з хімії / уклад. Й. Опейда, О. Швайка ; Ін-т фізико-органічної хімії та вуглехімії ім. Л. М. Литвиненка НАН України, Донецький національний університет. — Дон. : Вебер, 2008. — 738 с. — ISBN 978-966-335-206-0.
This article is issued from Wikipedia. The text is licensed under Creative Commons - Attribution - Sharealike. Additional terms may apply for the media files.