Закон Пашена
Зако́н Паше́на встановлює, що найменша напруга запалювання газового розряду між двома плоскими електродами є величина стала (характерна для даного газу) при однакових значеннях добутку pd, де р — тиск газу, d — відстань між електродами.
Закон відкритий експериментальним шляхом німецьким фізиком Ф. Пашеном в 1889 році[1], який вивчав залежність напруги пробою паралельних пластин в газі від тиску газу і відстані між пластинами.
Закон Пашена є окремим випадком закону подібності газових розрядів: явища в розряді відбуваються однаково, якщо при збільшенні або зменшенні тиску газу в стільки ж разів зменшити або відповідно збільшити розміри розрядного проміжку, зберігаючи його форму геометрично подібною до вихідної.
Відхилення від закону
Першими на відхилення від закону Пашена вказали Таунсенд і МакКеллум (Townsend and McCallum)[2] та МакКеллум і Клатзов (McCallum and Klatzow)[3]. Вони встановили, що при фіксованому pd напруги пробою зростають із збільшенням відстані між електродами. Відхилення від закону спостерігав також Міллер (Miller) [4], який досліджував напруги пробою у неоні при різних відстанях між електродами. Праві гілки кривих запалювання у криптоні та ксеноні побудували Жак та ін. (Jacques et al.).[5] Вони встановили, що ці гілки із збільшенням відстані між електродами не збігаються, а зміщуються в область вищих пробійних напруг.
Лисовський та ін. (Lisovskiy, Yakovin, Yegorenkov) [6] досліджували пробій газів низького тиску в циліндричних трубках різного радіуса R, різних відстанях d між плоскими електродами, різних матеріалах електродів в діапазоні відношення d/R ≤ 3. Вони показали, що звичайний закон Пашена для пробою газу в постійному електричному полі виконується тільки для коротких розрядних трубок, у яких відношення міжелектродного проміжку до радіуса трубки d/R ≤ 1. Для більших значень d/R слід користуватись модифікованим законом U = f(pd, d/R). При d/R > 1 збільшення відстані між електродами зміщує криві запалювання в область вищих значень пробійних напруг і нижчих тисків газу.
Закон не виконується, якщо значення p∙d є дуже малим або, навпаки, дуже великим. Зокрема, для значних розріджень газу (p < 10 Па) напруга пробою розрядного проміжку при заданому d не визначається законом Пашена внаслідок впливу допробійних струмів автоелектронної емісії та випаровування металевих часток з поверхні електродів.
Причинами відхилення від закону є також неоднорідність електричного поля в розрядному проміжку, забруднення електродів і наявність шляхів різної довжини, по яких може розвиватися електричний розряд в газі. Криві Пашена можуть змінюватися від наявності в газі навіть незначної домішок, утворення на катоді тонких плівок чужорідних атомів, дії зовнішнього магнітного поля та інших факторів.
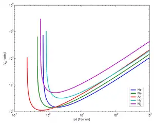
Типові значення пробивної напруги, що відповідає мінімуму кривої Пашена, для різних газів і різних. матеріалів катода знаходяться в межах 100...400 В при p∙d = 0,2...1 Па∙м.
Склад газу впливає і на мінімальне значення напруги пробою, і на відстань між електродами, при якій цей пробій може настати. Для аргону мінімальна напруга пробою дорівнює 137 вольт при відстані близько 12 мкм. Для діоксиду сірки мінімальна напруга пробою становить 457 вольт вже при відстані 4,4 мкм.
Крива Пашена

Ф.Пашен відкрив, що напруга пробою описується рівнянням
- ,
де V — напруга пробою у вольтах;
- p — тиск газу в атм;
- d — відстань між пластинами в метрах;
- a i b — константи, що залежать від складу газу. Для повітря під тиском p = 1013,25 гПа, a = 43,6∙106 В/атм і b = 12,8[7].
Графіком цієї функції є так звана крива Пашена. Підйом кривої при великих pd пояснюється зменшенням довжини вільного пробігу і зниженням імовірності набору необхідної для іонізації енергії. Підйом кривої ліворуч — зменшенням числа зіткнень на довжині проміжку. Існує мінімальна напруга пробою розрядного проміжку. Взявши від похідну по pd і результат прирівнявши до нуля можна визначити величину мінімальної напруги. Отримаємо:
і обчислюємо мінімум напруги пробою для pd = 7,5∙10-6 атм. Результат становить 327 В для повітря при нормальному тиску при відстані між електродами 7,5 мкм.
Застосування
Знання закону Пашена дозволяє шляхом підбору величини тиску при заданій відстані (або навпаки) створювати оптимальні умови для запалювання газорозрядних приладів (наприклад, розрядників), або, навпаки, для запобігання пробою у високовольтній апаратурі.
Закон Пашена застосовується для математичного моделювання перебігу елементарних процесів у газах. Він корисний для оцінки пробивної напруги в однорідному полі, напруги запалювання тліючого розряду, який широко використовується при отриманні тонких полімерних і оксидних плівок, очищення поверхонь матеріалів, накачування газорозрядних лазерів, в плазмових дисплейних панелях, стабілізаторах напруги тощо.
Див. також
Примітки
- Friedrich Paschen (1889). «Ueber die zum Funkenübergang in Luft, Wasserstoff und Kohlensäure bei verschiedenen Drucken erforderliche Potentialdifferenz». Annalen der Physik und Chemie 273 (5): 69–96. DOI:10.1002/andp.18892730505
- Townsend J. S.; MacCallum S. P. (1928). Electrical properties of neon. Philosophical Magazine 6 (38): 857 – 878.
- McCallum S.P., Klatzow L. (1934). Deviations from Paschen’s Law. Philosophical Magazine 17 (111): 279–297.
- Miller H.C. (1964). Breakdown potential of neon below the Paschen minimum. Physica 30 (11): 2059–2067.
- Jacques L., Bruynooghe W., Boucique R., Wieme W. J. (1986). Experimental determination of the primary and secondary ionization coefficients in krypton and xenon. J. Phys. D: Appl. Phys. 19 (9): 1731–1739.
- Lisovskiy V.A., Yakovin S.D., Yegorenkov V.D. (2000). Low-pressure gas breakdown in uniform dc electric field. J. Phys. D: Appl. Phys. 33 (21): 2722–2730.
- University of Rochester, Course Handout
Джерела
- Прохоров А. М. Физическая энциклопедия, том 3. М.: Советская энциклопедия, 1988.
- Райзер Ю. П. Основы современной физики газоразрядных процессов. М.: Наука, 1980.
- Сивухин Д. В. Курс общей физики, т.3. Электричество. М.: Наука, 1977. — 688 с.
