Залишкова намагніченість
Залишко́ва намагні́ченість — намагніченість речовини при нульовій напруженості зовнішнього магнітного поля. Властива для феромагнетиків. Залежить не лише від магнітних властивостей речовини, а й від характеру попередньої дії на неї магнітного поля.

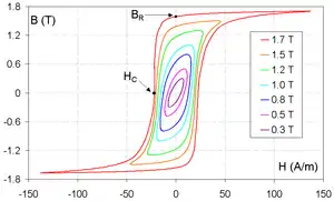
Серія кривих гістерезису для текстурованої електросталі (BR позначає залишкову намагніченість, а HC позначає коерцетивну силу).
Залишкову намагніченість можна зменшити нагріванням, механічними струсами, вібраціями тощо. При нагріванні тіла до температури, вищої за точку Кюрі, його залишкова намагніченість зникає.
Застосовують у системах запису та зберігання інформації, при виготовленні так званих постійних магнітів тощо.
Див. також
Джерела
- Українська радянська енциклопедія : у 12 т. / гол. ред. М. П. Бажан ; редкол.: О. К. Антонов та ін. — 2-ге вид. — К. : Головна редакція УРЕ, 1974–1985.
This article is issued from Wikipedia. The text is licensed under Creative Commons - Attribution - Sharealike. Additional terms may apply for the media files.