Зафірлукаст
Зафірлукаст (англ. Zafirlukast) — є антагоністом лейкотрієнових рецепторів (LTRA) для підтримки лікування астми, часто використовуються в поєднанні з інгаляційними стероїдами і/або довго діючими бронходилататорами. Лікарський засіб випускається у формі пігулки й зазвичай дозується двічі на день. Іншим антагоністом лейкотрієнових рецепторів є монтелукаст, що приймається один раз на день. Zileuton (Zyflo), також використовується в лікуванні астми через інгібування 5-ліпоксигенази, приймається чотири рази на день.
![]() | |
|---|---|
Зафірлукаст
| |
| Систематизована назва за IUPAC | |
| Cyclopentyl 3-{2-methoxy-4-[(o-tolylsulfonyl)carbamoyl]benzyl}-1-methyl-1H-indol-5-ylcarbamate | |
| Класифікація | |
| ATC-код | R03 |
| PubChem | |
| CAS | |
| DrugBank | DB00549 |
| KEGG | D00411 |
| Торгівельне найменування |
Accolate |
| Хімічна структура | |
| Формула | C31H33N3O6S |
| Мол. маса | 575.676 г/моль |
| Фармакокінетика | |
| Біодоступність | невідомо |
| Protein binding | 99% |
| Метаболізм | печінкою (CYP2C9-mediated) |
| Період напіввиведення | 10 годин |
| Екскреція | жовчна |
| Реєстрація лікарського засобу в Україні | |

Зафірлукаст блокує дію цистенал лейкотрієнів на рецептори cyslt1, тим самим зменшуючи звуження дихальних шляхах, скупчення слизу в легенях і запалення в дихальних шляхах.
Зафірлукаст продається компанією Астра Зенека з фірмовими найменуваннями Аколат (Accolate, Accoleit, та Vanticon). Це був перший LTRA, який став продаватися в США, на тепер схвалений в більш ніж 60 країнах, включаючи Велику Британію, Японію, Тайвань, Італія, Іспанія, Канада, Бразилія, Китай і Туреччину.
Фармакокінетика
У Здорових молодих осіб, які прийняли 40 мг пік плазмових концентрацій зафірлукаста, досягає максимальної концентрації в середньому 607 мкг/л за 3,4 години. Період напіврозпаду становив від 12 до 20 годин. В іншому дослідженні за участю 20 мг одноразової пероральної дози у здорових людей, період напіврозпаду середньому 5,6 години[1][2].
Спеціальні попередження
Лист було представлено компанією Zeneca Pharmaceuticals 22 липня 1997 року, який повідомив про зміну в маркуванні продукції, яка включає наступні потенційні реакції у пацієнтів, які застосували зниження дози пероральних стероїдів, які в даний час приймають зафірлукаст:
Запобіжні заходи
Еозинофільні умови: скорочення дози оральних стероїдів, у деяких пацієнтів на зафирлукаст терапії, спостерігається в рідкісних випадках поява еозинофілії, васкулітіческой висипу, погіршення легеневих симптомів, кардіологічні ускладнення і/або невропатія, іноді як еозинофільний гранулематоз з поліангіїтом, системний еозинофільний васкуліт. Хоча причинно-наслідковий зв'язок з зафірлукастом не встановлений, необхідно дотримуватися обережності.
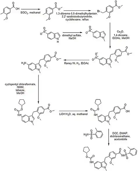
Хімія
Синтез
Зафірлукаст може бути синтезований наступним методом:[3]

Див. також
- Пранлукаст
- Монтелукаст
- Лейкотрієни
- Астма бронхіальна
- Алергія
Примітки
- Фишер Джей ди, песня МЗ, Сатл АБ, современная компания WD, ожоги КБ, Варго дл, Брауэр кл.
- Бхарати ДВ, найду себя, Jagadeesh Б, кн Лакшми, Лакшми пр, пр Редди, Mullangi р. Разработка и проверка чувствительного ЖХ-МС/МС, метод ионизации электрораспылением для количественного определения зафирлукаст, селективный антагонист лейкотриенов в плазме крови человека: применение в клинических фармакокинетические исследования.
- Goverdhan G, Reddy AR, Himabindu V, Reddy GM (April 2014). Synthesis and characterization of critical process related impurities of an asthma drug – Zafirlukast. Journal of Saudi Chemical Society 18 (2): 129–138. doi:10.1016/j.jscs.2011.06.002.
Посилання
- Accolate, Accoleit, Vanticon (вебсайт виробника)
- Zafirlukast (інформація для паціентів)
- Zafirlukast. U.S. National Library of Medicine.
Література
- Hardman JG, Limbird LE, Gilman AG. (2001). Goodman & Gilman's The Pharmacological Basis of Therapeutics (10 вид.). New York: McGraw-Hill. doi:10.1036/0071422803. ISBN 0-07-135469-7.
- Thomas L. Lemke, David A. Williams, ur. (2007). Foye's Principles of Medicinal Chemistry (6 вид.). Baltimore: Lippincott Willams & Wilkins. ISBN 0-7817-6879-9.
