Зір
Зір — відчуття (сенсо́рне відчуття), що дозволяє сприймати світло; колір та зовнішню структуру навколишнього світу у вигляді зображення або картини.
| Чи знаєте ви, що… | |
|---|---|
| |
У тварин і людини органами зору є очі; втім зорова картина є також продуктом обробки первинної зорової інформації мозком.
Фізіологія зору
На сьогодні вважається визнаним фактом, що в оці людини містяться 2 категорії фоточутливих елементів — рецепторів: високочутливі палички (рецептори) — ті, що відповідають за сутінковий (нічний) зір, і менш чутливі колбочки (рецептори) — такі, що відповідають за колірний зір.
У сітківці ока людини є 3 види колбочок, максимум чутливості яких припадає на червону, зелену і синю ділянки видимого спектра, тобто відповідає трьом „основним“ кольорам. Криві їх спектральної чутливості частково перекриваються, що забезпечує розпізнавання тисяч кольорів і відтінків у спектральному діапазоні довжин світлових хвиль 400—700 нм. Дуже сильне світло подразнює всі 3 типи рецепторів і тому сприймається як випромінювання сліпучо-білого кольору.
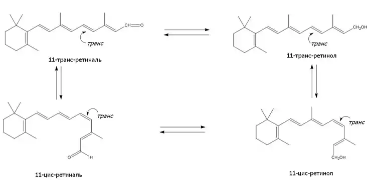
У сітківці ока міститься головний фоточутливий червоний пігмент родопсин. Цей пігмент складається з білка опсину (молекулярна маса 38 000), сполученого по своїй активній стороні із 11-цис-ретиналем. З хімічної точки зору, родопсин є основою Шиффа карбонільної групи ретиналя й ε-аміногрупи лізинового залишку опсину. Коли видиме світло із придатною енергією поглинається родопсином, цис-ретиналь у складі основи Шиффа ізомеризується у транс-ізомер. Цей процес відбувається дуже швидко (10−12 c). Комплекс транс-ретиналю із опсином (метародопсин-II) менш стабільний, ніж комплекс цис-ретиналю, і він дисоціює на опсин й транс-ретиналь. Ця зміна у геометрії ініціює відповідь у нервових клітинах сітківки, яка передається до мозку й сприймається як зоровий образ. Якщо б це був разовий процес, то ми були б здатними бачити лише декілька моментів, оскільки увесь 11-цис-ретиналь витрачався б. На щастя, фермент ретинальізомераза у присутності світла перетворює транс-ретиналь назад у 11-цис-ретаниль, тому цикли повторюються.
У сітківці ока, таким чином, постійно відбуваються ферментативні взаємоперетворення 11-транс-ретиналь → 11-транс-ретинол (у темряві) → 11-цис-ретинол 11-цис-ретиналь → 11-транс-ретиналь.

В організмі транс-ретинол окиснюється у 11-транс-ретиналь. А 11-транс-ретиналь під дією ретинальізомерази перетворюється на 11-цис-ретиналь.
Цікаво, що хоча частота кадрів у фільмі складає лише 24 кадри на секунду, людина не у змозі встановити факт такого розділення кадрів. Чергування кадрів відбувається плавно. Якщо у звичайну кінострічку додати при монтажі 25-й кадр, який не стосується головного сюжету, то він буде непомітним. Сутність інерційності зору полягає в тому, що людське око продовжує через деякий час (приблизно протягом 0,1 с) ніби бачити предмет після його зникнення. Тому якщо зміна зображень відбувається менш ніж за 0,1 с, то ми не встигаємо розрізнити кожне зображення окремо.
Характеристики зорового апарату
Світлова чутливість
Світлова чутливість вимірюється величиною порогу сприйняття світлового подразника.
Око має різну чутливість у різних умовах. За поганого освітлення, зір зумовлений чутливістю паличок. Такий зір називається скотопічним зором. На противагу, фотопічний зір — це зір при доброму освітленні, коли основну роль у світлосприйнятті відіграють колбочки.

Згідно з дослідними даними, для доброї видимості предметів у вечірніх та нічних умовах за низької яскравості поверхонь необхідно, щоб розглядувані предмети мали кутовий розмір не менше
Периферичний зір із більш високою (у тисячі разів) чутливістю до світла має меншу чіткість видимості. Сплеск чутливості при сутінковому зорі, зсунутий з жовто-зеленої частини спектра (при центральному зорі) у синьо-зелену при майже повній втраті чутливості паличок у червоній частині спектра. Така зміна чутливості ока до випромінювання різних ділянок спектра при переході від великих яскравостей до малих, відома під назвою ефекту Пуркинє.
Людина з гарним зором здатна розгледіти вночі світло від свічки на відстані декількох кілометрів. Однак світлова чутливість зору багатьох нічних тварин (сови, гризуни) набагато вища. Найбільша світлова чутливість досягається після досить тривалої темнової адаптації. Її визначають під дією світлового потоку в тілесному куті 50 ° за довжини хвилі 500 нм (максимум чутливості ока). У цих умовах порогова енергія світла близько 109 ерг/с, що відповідає декільком квантам. Чутливість ока залежить від повноти звикання, від інтенсивності джерела світла, довжини хвилі й кутових розмірів джерела, а також від часу дії подразника. Чутливість ока знижується з віком через погіршення оптичних властивостей склери і зіниці, а також рецепторної ланки сприйняття.
Гострота зору
Здатність різних людей бачити великі або менші деталі предмету з однієї і тієї ж відстані, з однаковою формою очного яблука й однаковій заломлювальній силі діоптричної очної системи, зумовлюється відмінністю у відстані між паличками і колбочками сітківки і називається гостротою зору.
Прийнято вважати, що при граничному куті розрізнення рівному 1', гострота зору дорівнює 1. Якщо око дозволяє розрізняти 30», то гострота зору дорівнює 2 тощо.
Бінокулярність
Розглядаючи предмет обома очима, ми бачимо його тільки тоді одиничним, коли осі зору очей утворюють такий кут збігання (конвергенцію), за якого симетричні виразні зображення на сітківках утворюються в певних відповідних місцях чутливої жовтої плями (fovea centralis). Завдяки такому бінокулярному зору ми не лише робимо висновки про відносне положення і відстань до предметів, але й сприймаємо враження рельєфу та обсягу.
Вади зору
Найчастіший недолік — нечітка видимість близьких або віддалених предметів.
В усьому світі щонайменше 2,2 мільярди людей мають порушення зору або сліпоту, з яких принаймні 1 мільярд мають порушення зору, які могли бути запобіжені або ще не вирішені.
Цей 1 мільярд людей включає людей з помірним або вираженим порушенням зору або сліпотою через неадресовану помилку заломлення, а також порушень зору, спричинених пресбіопією. В усьому світі провідними причинами порушення зору є непоправлені помилки заломлення та катаракта.
Більшість людей із порушеннями зору старші за 50 років.
Видимість предметів змінюється з віком людини: десятирічна дитина бачить добре предмет не ближче 7 см, в 45 років — 33 см, а в 70 років необхідні окуляри для розгляду близьких предметів. Так протягом життя падає здатність кришталика змінювати свою кривину, розвивається далекозорість.[1]
Міопія
Інший дефект зору — короткозорість. Розвивається короткозорість від тривалого напруження зору (спазм акомодації), пов'язаного з недостатньою освітленістю. Встановлено, що в молодших класах середньої школи короткозорих дітей небагато, але їх стає більше в середніх і старших класах. Найчастіше короткозорість розвивається до 16—18 років.
Короткозорість і далекозорість виправляються окулярами та вправами для очей.
Дальтонізм
Якщо в сітківці ока відсутнє або послаблене сприйняття одного з трьох основних кольорів, то людина не сприймає деякі кольори. Є «колірносліпі» на червоний (протанопи), зелений (дейтеранопи) і синьо-фіолетовий (тританопи) колір. Рідко зустрічається парна або навіть повна колірна сліпота. Частіше зустрічаються люди, які не можуть відрізнити червоний колір від зеленого. Ці кольори вони сприймають як сірі. Така вада зору була названа дальтонізмом — на ім'я англійського вченого Д. Дальтона, який сам страждав таким розладом колірного зору і вперше описав його.
Дальтоніків не допускають до керування транспортом. Дальтонізм невиліковний, передається спадково (причому, ця вада зчеплена зі статтю: переважна більшість хворих — чоловіки) або виникає після деяких очних і нервових хвороб. Дуже важливе правильне сприйняття кольорів для моряків, льотчиків, хіміків, художників.
Альтернативні методи лікування
Альтернативні методи лікування вад зору відомі ще з давніх часів. Згадки про способи лікування різних захворювань очей можна знайти в трактатах давньоіндійської системи йога. Відомий також метод Бейтса, який дістає все більше поширення не лише в Сполучених Штатах Америки, батьківщині Бейтса, але й в Європі та Азії. Основні принципи доктора Бейтса викладенні в його книжках і в книжках його численних прихильників. Основні принципи — правильне харчування, психологічне розслаблення, пальмінг, соляризація.
Вибір окулярів
Вибираючи окуляри для виправлення відхилень, слід звертати увагу на те, чи зберігається нормальна гострота зору ока і чи не порушується бінокулярний зір.
В більшості випадків очні яблука можна розділити на три групи:
- Еметропний вид — нормальне око, яке без додаткової акомодації збирає у фокус на сітківці тільки промені паралельні, бачить виразно, без жодної напруги предмети, розташовані дуже далеко. Лише з наближенням предмету вступає у свою роль акомодуючий війковий м'яз, діяльність якого, проте, частково обмежується. Починаючи з деякої відстані (різної в залежності від віку) акомодація припиняється. Таким чином, для кожного еметропного нормального ока існують дві точки: дальня і найближча (punctum remotum і р. proximum), предмети між якими видно виразно.
- Міопний вид — брахіметропний; короткозоре око, яке без акомодації збирає в точку на сітківці промені, що тільки розходяться. Для паралельних променів фокус знаходиться перед сітківкою, отже, око не сприймає далеких предметів. Надлишок рефракції міопного ока порівняно з рефракцією нормального ока обмежує для міопа відстань між дальньою і найближчою точками тільки декількома сантиметрами (60—5).
- Гіперметропний вид — далекозоре око, яке без акомодації збирає у фокус на сітківці лише промені, що сходяться, а від паралельних дає фокус позаду сітківки (у негативному просторі). Тільки за допомогою акомодації гиперметропне око може збирати у фокусі паралельні промені і промені, що навіть розходяться, йдуть від предметів, розташованих перед оком. Гиперметропне око має недостатню рефракцію і без акомодації зовсім не могло б бачити предмети виразно, навіть здалека (не було б далекозорим). У цьому легко переконатися, паралізувавши тимчасово акомодацію уприскуванням в око атропіну. Еметропне око після відомої операції видалення катаракти кришталика або після зрушення кришталика убік від зіниці стає гіперметропним, бо для ока втрачена рефракція кришталика. Тому можна сказати, що для гіперметропного ока унаслідок недостатньої рефракції punctum remotum в негативному просторі позаду сітківки, а punctum proximum, хоч і перед оком, але порівняно далеко.
Призначення окулярів для аметропних очей (міопного і гіперметропного) має на меті нейтралізувати аномалії, тобто для міопного ока — розширити простір між найближчою і дальньою точками, «відсунувши» останню в нескінченність, а для гіперметропного — пересунути дальню точку з негативного простору в нескінченність перед очима, зовсім не вдаючись до акомодації. Тому для міопного ока треба користуватися розсіюючими лінзами (нейтралізують надлишок рефракції ока); а для гіперметропного — збірними лінзами, що доповнюють своєю рефракцією недостатню рефракцію ока.
Фокусні відстані таких окулярів повинні дорівнювати відстані punctum remotum до оптичного центру ока або його вузлової точки.
Ступені аномалій зору
Ступінь або сила міопії оцінюється дробом 1/Rm і позначається буквою М = 1/Rm; чим більше Rm, тобто чим віддаленіша punctum remootum, тим слабкіша міопія, і при R рівному нескінченності очі вважають нормальними. Міопію усувають сферично увігнутим склом, оптична сила якого — 1/Rm; якщо відстань Rm в метрах, то дріб отримує найменування діоптрії. Наприклад, для скла з показником заломлення 1,53, для середніх променів при R = 18 дюймів, сила скла 1/18 = 2,25D (діоптрій). Ступінь гіперметропії оцінюється теж дробом — 1/Rh, і чим більше Rh, тим нижчий ступінь гіперметропії. Її також можна виправити або виправити сферичним опуклим збірним оптичним склом (+), сила якого = +1/Rh. Прийнято називати нижчими ступенями гіперметропії і міопії всі ступені до 1/12, тобто до 3,25 D. Середніми — від 1/12 до 1/6, тобто 3,25D — 6,5D, і сильними аномаліями — всі ступені, більші від 1/6 або 6,5 D.
Але не всі сферичні лінзи в однаковій мірі годяться для окулярів. Пласко опуклі лінзи зовсім непридатні для окулярів. Найвигідніші в оптичному відношенні — увігнуто-опуклі збірні і розсіювальні (+ і — меніски), оскільки ці лінзи, будучи зверненими до ока увігнутим боком, мають найменшу сферичну аберацію. За такими окулярами, названими Вульстеном (Wollaston) перископними, очі вільно можуть рухатися без шкоди для ясності зору.
Нумерація окулярних лінз
Здавна нумерація окулярних лінз велася за радіусом кривини поверхонь і виражалася в дюймах. Але оскільки середній показник заломлення скла, з якого виготовляли і виготовляють окулярні лінзи, дорівнює 3/2, точніше 1,53, а товщина лінз незначна, то з невеликою похибкою вважали головну фокусну віддаль скла рівною радіусу кривини. Таким чином, окулярними лінзами +36 (плюс 36) і -8 (мінус 8) вважали збірні і розсіювальні лінзи з головними фокусними віддалями (отже — з радіусами кривини), рівними 36 дюймів і 8 дюймів відповідно. Ця дюймова нумерація лінз у 1875 р. за ухвалою міжнародного медичного конгресу в Брюсселі замінена новою — метричною при наступному головному положенні: означати номери лінз за оптичною силою = ± 1/f, де f — фокусна віддаль в метрах, причому силу лінзи з f = 1 м стали називати діоптрією. Таким чином, лінзам з фокусними віддалями 1/2 м, 1/3 м, 1/4 м повинні відповідати номери 2, 3 і т. д. (за їхньою оптичною силою, вираженою у діоптріях). Тому в сучасних наборах окулярних лінз загальноприйнятою є нумерація в діоптріях, але для переходу від старої дюймової системи до нової вживається наближена формула D*N = 40, де D — номер за метричною системою в діоптріях, а N — за дюймовою. [Для французьких наборів використовувалися французькі дюйми, для яких D*N = 36].
Таблиця відповідності знаків лінз
у діоптріях (за метричною системою) до їх номерів за дюймовою системою.
| Система | ||
| Метрична | (n** = 1,53) | Дюймова |
|---|---|---|
| D | № | |
| 0,25 | = | 160 |
| 0,50 | = | 80 |
| 0,75 | = | 52 |
| 1,0 | = | 40 |
| 1,25 | = | 32 |
| 1,50 | = | 26 |
| 1,75 | = | 22 |
| 2,0 | = | 20 |
| 2,25 | = | 18 |
| 2,50 | = | 16 |
| 2,75 | = | 14 |
| 3,0 | = | 13 |
| 3,25 | = | 12 |
| 3,50 | = | 11 |
| 4,0 | = | 10 |
| 4,5 | = | 9 |
| 5,0 | = | 8 |
| 5,5 | = | 7 |
| 6,0 | = | 6,5 |
| 6,5 | = | 6 |
| 7,0 | = | 5,5 |
| 8,0 | = | 5 |
| 9,0 | = | 4,5 |
| 10,0 | = | 4 |
| 11,0 | = | 3,5 |
| 12,0 | = | 3,25 |
| 13,0 | = | 3 |
| 14,0 | = | 2,75 |
| 16,0 | = | 2,5 |
| 18,0 | = | 2,25 |
| 20,0 | = | 2 |
- n — показник заломлення скла, з якого виготовлена лінза.
Підбір окулярів
Під час вибору окулярів, пацієнт поміщається на відстані 6 м (19 англ. фут.) від добре освітленої спеціальної таблиці. Кожне око досліджується окремо. Пацієнт, починаючи зверху, читає букви кожного рядка; останній з прочитаних рядків позначається як гострота зору пацієнта, визначена без поправки лінзами. Потім приставляють до ока слабкі (довгофокусні), а потім сильніші (короткофокусні) двоопуклі лінзи і пропонують пацієнтові ще раз прочитати останній з розібраних ним рядків. Якщо це вдається і він бачить так само добре, як і здоровим оком або навіть краще, то у нього діагностується гіперметропія. Для визначення ступеня гіперметропії (Н) приставляють до ока все більш і сильніші лінзи, поки пацієнт не відзначить, що він бачить гірше. Дуже випукле скло вкаже на ступінь гіперметропії. Якщо D скла 10, тобто сила скла +10D, то ступінь гіперметропії — 10 D. Якщо зір пацієнта погіршується від опуклих лінз, треба з'ясувати, чи існує міопія або еметропія. З цією метою приставляють до ока увігнуті лінзи, що поступово посилюються; якщо при цьому виявиться, що зір помітно поліпшується, то мають справу з міопією. На ступінь міопії указуватиме слабке увігнуте скло, з яким пацієнт краще за всі інші випадки може читати. Якщо зір не поліпшується і від увігнутих лінз, то наявне послаблення гостроти зору, причину якого повинен з'ясувати досвідчений лікар-офтальмолог. При цьому корисно керуватися формулою, що виражає залежність гостроти зору від віку пацієнта.
Окуляри у разі старечої далекозорості (пресбіопія)
На початку статті про окуляри, ми вказали на чудову властивість очей пристосовуватися до відстаней, причому звернули увагу, що сила цієї пристосовності, інакше кажучи — сила акомодації, у різних очей коливається в широких межах. Прийнято силу акомодації вимірювати різницею — 1/A двох дробів, з яких зменшуваний дріб є 1/P, а 1/R, що віднімається, де R>0 для міопа і R < 0 для гіперметропа, тобто: 1/P — 1/R = 1/A; з віком сила акомодації зменшується, тому що при тривалому постійному положенні точки R точка Р все-таки безперервно віддаляється від ока. По Дондерсу, для нормальних очей p.р. і р.r. мають наступні відстані до вузлової точки ока:
| P | R | 1/A | |
|---|---|---|---|
| 10 | 2",66 | ∞ | 1/2,66 |
| 20 | 3,75 | ∞ | 1/3,75 |
| 25 | 4,44 | ∞ | |
| 30 | 5,33 | ∞ | |
| 40 | 8,27 | ∞ | 1/8,27 |
| 50 | 15 | —240" | 1/14 |
| 60 | 48 | —60 | 1/27 |
| 65 | ∞ | —40 | 1/40 |
| 70 | —40 | —26 | 1/74 |
| 75 | —26 | —26 | 0 |
Причина ослаблення акомодації
Око потрібно оберігати від механічних й хімічних впливів, читати в добре освітленому приміщенні, тримаючи книгу на відстані 33-35 см від ока. Джерело світла має знаходитися ліворуч. Не треба близько нахилятися до книги, оскільки кришталик у цьому положенні знаходиться у опуклому стані, що може призвести до розвитку короткозорості. Надто яскраве світло псує зір, руйнуючи світлосприймальні клітини. Тому сталеварам, зварникам та робітникам подібних професій рекомендується працювати у темних окулярах.
Не можна читати в транспорті, під час руху, бо через несталість положення книги весь час змінюється фокусна відстань. Це спричиняє зміну кривини кришталика, зменшення його еластичності, внаслідок чого слабшає війковий м'яз. Це стосується також (і особливо) користування гаджетами.
Здатність кришталика змінювати свою кривину залежно від віддаленості предмета називається акомодацією. Навіть у здорового нормального ока з віком послаблюється здатність акомодувати, що пояснюється поступовою зміною фізичних властивостей кришталика — його ущільненням і зменшенням пружності. Уроджена далекозорість пов'язана із зменшеною величиною очного яблука або слабкою заломною силою роговиці чи кришталика. У пізнішому віці приєднується до цих змін кришталика і атрофія акомодуючого війкового м'яза. Подібне ослаблення акомодації — пресбіопія, або стареча далекозорість, — відвіку викликала потребу в користуванні двоопуклими, збірними окулярами, і тому її ще недавно не відокремлювали абсолютно або відокремлювали недостатньо від гіперметропії і міопії. Обидва ці стани ока називали одним словом: далекозорість-пресбіопія. Видатний офтальмолог Дондерс встановив чітку різницю між двома цими станами ока: аномалією рефракції і ослабленням акомодації, зберігши слово «пресбіопія» тільки відносно того, що зазначило зменшення акомодації і при тому такого зменшення, коли є явний розлад зору. Початком появи такої пресбіопії в нормальному оці Дондерс вважає той момент, коли найближча точка віддаляється далі 20 см. Тому ступінь пресбіопії (аналогічно із ступенем міопії і гіперметропії) Дондерс визначає виразом
Pr = 1/8 — 1/P.
Якщо Р = 8", то по Дондерсу Pr = 0; але якщо Р = 16", Pr = 1/8 — 1/16 = 2,50D.
Для обчислення фокусної відстані окулярів з двоопуклими лінзами (biconvex) служить формула 1/В — 1/Р, в якій Р — означає відстань найближчої точки при найбільшій можливій акомодації, а У — відстань, на якій було б бажано мати найближчу точку. Наприклад, найближча точка знаходиться від ока на відстані 20", а бажано було б її мати на відстані 10". Цього можна досягти за допомогою двоопуклих лінз, фокус яких буде на 20", бо 1/10 — 1/20 = 1/20. Сила такого скла 2D, а номер D = 2. Але іноді бувають потрібні два види окулярів для різних відстаней при частій і швидкій зміні відстаней (у живописців, вчителів); у такому разі, за послабленої акомодації зручніше мати не дві пари окулярів, а використовувати особливі окуляри: у одній частині оправи, виточивши поверхню однієї лінзи, шліфують займаючу половину іншої частини оправи поверхню іншої кривини. Іноді оправа (для одного ока) будується з двох половинок різної кривини, складених по горизонтальному діаметру.
Франклінівські окуляри

Інший пристрій є зручнішим для очей. Такі окуляри називаються франклінівськими, а також Verves а double foyer. — Якщо потрібний поперемінний частий розгляд то далеких, то близьких об'єктів, причому розгляд удалину не представляє складнощів для ока, тоді користуються пантоскопічними окулярами.
Скло пантоскопічних окулярів

У верхній їх половині скельця або пласкі, або зовсім відсутні, а в нижній — скельця з відповідною фокусною віддаллю для розгляду зблизька. Циліндричні окуляри вживаються у разі аномалії, відомої під назвою астигматизму.
Циліндричні окуляри й астигматизм

Нерідко еметропне око не у всіх напрямках симетричне відносно своєї осі (асиметрія рогівки), а тому в різних меридіанах фокусні відстані різні, причому в двох меридіанах, розташованих взаємно перпендикулярно, фокусні відстані — найбільша і найменша. Ці меридіани називаються головними. Такий випадок аномалії рефракції називається правильним астигматизмом. Ступінь його визначається різницею між заломлювальною силою в головних меридіанах As = 1/F1 — 1/F2 — 1/F.
Таку аномалію можна нейтралізувати, як довів вперше в 30-х роках астроном Ері (Airy), циліндровими лінзами, опуклою або увігнутою. У першому випадку, вісь циліндра лінзи повинна збігатися з меридіаном, якому відповідає найбільша рефракція, інакше кажучи, найменша фокусна відстань, в другому — вісь циліндра повинна бути в головному меридіані, для якого рефракція найменша, а, f, відповідно, найбільше. Кожне нормальне око є до деякої міри астигматичним — нерідко As досягає 1/200 — 1/60. Це фізіологічний астигматизм, що не порушує помітно виразності зору. Але астигматизм більше 1/60 веде вже до розладів зору. Він вимагає використання циліндрових лінз. У різних випадках астигматизм може бути змішаний з міопією і гіперметропією.
Сфероциліндрична лінза

Тому циліндричні окулярні лінзи бувають наступних форм:
- прості циліндричні лінзи, опуклі і ввігнуті, з однією плоскою і однією циліндричною або ж з 2-ма циліндричними поверхнями з паралельними осями; означаються в практиці по своїй силі +1/F з (cylindrique); застосовуються для виправлення астигматизму еметропного ока;
- біциліндричні з однією опуклою і однією увігнутою циліндровими поверхнями, розташованими навхрест — позначаються 1/F1с 1/F2с і сфероциліндрично означаються (обидві поверхні або опуклі або вгнуті). Цими формами скелець коригують астигматизм у сполучені з міопією і гіперметропією. Стенопічні окуляри виготовляються з непрозорих лінз з вузьким прозорим отвором у формі півкола або вузької щілини для обмеження променів світла, що проходять в око. Вони застосовуються для поліпшення зору в тих випадках, коли лише одна частина діоптричного апарату очей є прозорою, для того, щоб перешкодити розсіюванню світлових променів, які проходять крізь непрозорі частини рогівки, а також задля затримання проникнення в око надлишку променів.

Призматичні окуляри
Це комбінація призматичних і сферичних лінз. Користування ними вказане Креку, Дондерсом і Грефе. Їх застосовують головним чином у разі страждання очних м'язів (косоокість) і при деякій неправильності рефракції.
Кольорові окуляри
Кольорові скельця слугують для захисту очей від дуже яскравого світла. Раніше вживали зелені скельця, але з того часу, як виявилось, що вони, пропускаючи завелику долю променів спектра, є малоефективними для захисту очей, стали користуватися сірими та синіми скельцями. Сірі димчасті скельця поглинають всі кольорові промені майже однаково; сині скельця найбільше поглинають жовті і помаранчеві промені (найяскравіші). Кольоровими робляться також сферичні, циліндричні і призматичні лінзи.

Список скорочень
Всі вказані виправлення сферичними окулярами головних аномалій рефракції і пресбіопії ми звели у поміщену вище таблицю, користуючись наступними позначеннями: Е — еметропія, М — міопія, Г або Н — гіперметропія, П — пресбіопія, р. r. — punctum remotum, р. р. — punctum proximum, A — означає фокусну відстань тієї уявної додаткової оправи, яка як би тимчасово приставляється до передньої поверхні кришталика, — при найбільшій акомодації його для ясного бачення найближчої точки (р. р.), Pr — означає умовно, по Дондерсу, ступінь пресбіопії, В — фокусна відстань, на якій при пресбіопії бажано мати р. h., Ac (As) — правильний астигматизм і, нарешті, 1-й м., 2-й м. — головні меридіани ока.
Див. також
Посилання
Джерела
- Грегори Р. Л., Глаз и мозг. Психология зрительного восприятия, пер. с англ., М., 1970
- Нагель А. «Аномалії, рефракції і акомодації ока» (1881, переклад з німецького д-ра Добровольського); Longmore, «Керівництво до дослідження зору для військових лікарів» (перероблене Лаврентьєвим, 1894);
- Imbert А., «Les anomalies de la vision» (1889).
- Аветисов Э. С., Розенблюм Ю. З. Оптическая коррекция, М., 1981;
- Глезер В. Д. Зрение и мышление, Л., 1985;
- Кроль М. Б., Федорова Е. А. Основные невропатологические синдромы, М., 1966;
- Механизмы работы клеточных элементов сетчатки, под ред. М. М. Каримова, М., 1984;
- Рок И. Введение в зрительное восприятие, пер. с англ., кн. 1—2, М., 1980;
- Эмануэль Н. М. и Островский М. А. Химическая физика проблемы «газ и солнце», М., 1983.
- Vision impairment and blindness. www.who.int (англ.). Процитовано 22 березня 2020.