Карбонільна група
Карбоні́льна гру́па — функційна група >С=О органічних сполук, яка є складовою частиною альдегідів, кетонів, хітонів, ацилсиланів та багатьох інших.

Загальний опис
Карбонільна група є електроакцепторним замісником. Виявляє слабкі основні властивості. Ідентифікується ІЧ-, УФ-спектроскопією та ЯМР-спектроскопією.
Карбонільна група — плоска, характерна для альдегiдiв, кетонiв, хiнонiв, кислот, теж сполук металу з карбонмоноксидом, пр., карбоніл залізо Fe(CO)5; є електроноакцепторним замiсником як заiндуктивним, такi за мезомерним ефектом. Має вельми слабкi основнi властивостi. Гiбридизацiя атомiв С та О — sp2. До атома C, який є електронодефiцитним, здатні приєднуватись нуклеофiли.
Дотичний термін
Карбоні́льний (рос. карбонильный, англ. carbonyl, нім. Karbonyl…) — той, що має групу С=Х.
Див. також
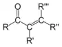
| Сполука | альдегід | кетон | карбонова кислота | естер | амід | енон | галогенангідрид карбонової кислоти | ангідрид карбонової кислоти |
| Структура | ![]() | ![]() | ![]() | ![]() | ![]() | ![]() | ||
| Загальна формула | RCHO | RCOR' | RCOOH | RCOOR' | RCONR'R'' | RC(O)C(R')CR''R''' | RCOX | (RCO)2O |
Література
- Мала гірнича енциклопедія : у 3 т. / за ред. В. С. Білецького. — Д. : Донбас, 2004. — Т. 1 : А — К. — 640 с. — ISBN 966-7804-14-3.
- В. І. Саранчук, М. О. Ільяшов, В. В. Ошовський, В. С. Білецький. Хімія і фізика горючих копалин. — Донецьк: Східний видавничий дім, 2008. — с. 600. ISBN 978-966-317-024-4
- Глосарій термінів з хімії // Й. Опейда, О. Швайка. Ін-т фізико-органічної хімії та вуглехімії ім. Л. М. Литвиненка НАН України, Донецький національний університет. — Донецьк : Вебер, 2008. — 758 с. — ISBN 978-966-335-206-0
- L.G. Wade, Jr. Organic Chemistry, 5th ed. Prentice Hall, 2002. ISBN 0-13-033832-X
- The Frostburg State University Chemistry Department. Organic Chemistry Help (2000).
- Advanced Chemistry Development, Inc. IUPAC Nomenclature of Organic Chemistry (1997).





