Карен (речовина)
Карен - біциклічний терпен (монотерпен). Відомі 4 ізомери, які відрізняються положенням подвійного зв'язку.

Карени легко окислюються киснем повітря, при дії кислих агентів ізомеризуються з розривом трьохчленного кільця[1].
Застосування
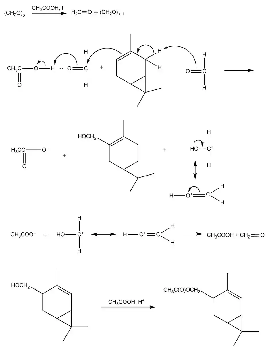
Карен застосовують для отримання пахучих речовин, зокрема ментолу, вальтерилацетату тощо. Карен-3 міститься у скіпідарі, його застосовують для синтезу вальтерилацетату.

Джерела
- Братус И.Н. - Химия душистых веществ.
This article is issued from Wikipedia. The text is licensed under Creative Commons - Attribution - Sharealike. Additional terms may apply for the media files.