Крайова задача
Крайова задача — задача теорії диференціальних рівнянь, в якій межові умови задаються в різних точках. Наприклад, при коливаннях струни із закріпленеми кінцями зміщення на кожному з кінців дорівнює нулю.
Крайові задачі складніше розв'язувати, ніж задачі Коші, особливо чисельно.
Крайові задачі виникають як в теорії звичайних диференційних рівнянь, так і в теорії диференційних рівнянь із частковими похідними, особливо рівнянь еліптичного типу.
Особливий вид краєвої задачі — вимога певної поведінки фукнції (скінченності) при прямуванні аргументу до нескінченності або в околі особливих точок.
Нехай - область на площині із межею
Важливими задачами є:
- перша крайова задача, задача Діріхле
- друга крайова задача, задача Неймана
для на - третя крайова задача, задача Робіна
Методи розв'язання крайових задач
Метод сіток
Розглядається не континуум точок площини а зліченна множина дискретних точок

Якщо область розмістити на сітці, то одні точки сітки попадуть всередину, а інші виявляться назовні області. Дискретна область складається з точок сітки, які лежать всередині області , точки сітки, найближчі до межі й які лежать або всередині, або ззовні (це залежить від постановки задачі), розраховують як точки дискредної межі У цьому випадку дискретна область складається лише з точок сітки.

Друга можливість полягає у тому, що додають точки перетину із прямими сітки як нерегулярні граничні точки.

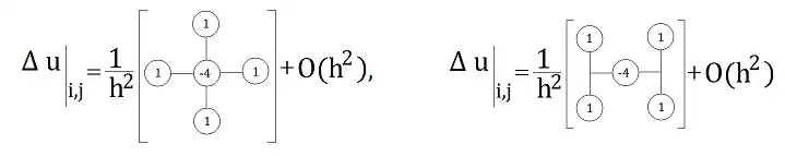
Похідні, які зустрічаються у розглядуваному диференціальному рівнянні, замінюються у кожній точці сітки на відповідні різнісні відношення. Наприклад,
Такі вирази називаються також молекулами й пишуються у вигляді наочних структурних формул.
П'ятиточкові молекули для оператора Лапласа (квадратна сітка):

Якщо область така, що для достатньо простої сітки за відповідно обраного розташування межа складається лише з сіткових прямих, то крайові значення задаються у граничних сіткових точках й уводяться відповідні молекули, якщо вони включають такі точки.
Наприклад, рівняння Пуасона у прямокутнику[1]
Сітка
- регулярна межа.
Нехай є областю на площині із межею Потрібно віднайти функцію яка задовільняє рівнянню Пуасона
При застосуванні молекули ліворуч
як дискретний аналог рівняння Пуасона (через позначене наближення для ).
Якщо записати усі рівняння, для яких "центральний елемент" є внутрішньою точкою (тобто ), то
Підкреслені значення можуть бути перенесені праворуч.
Тоді в якості дискретного аналогу задачі є система лінійних рівнянь:
Для рішення таких систем застосовують ітераційні методи, хоча можуть застосовуватися методи, які використовують блокову структуру.
Див. також
- Функції Куранта
Джерела
- Е. А. Волков, О решении краевых задач для уравнения Пуассона в прямоугольнике, Докл. АН СССР, 1962, том 147, номер 1, 13–16.