Кінетичне розщеплення
Кінетичне розщеплення — це реакція рацемату, в якій один енантіомер утворює продукт швидше за інший. Різниця в швидкості виникає за рахунок різниці між енергіями активації Ea, необхідними для досягнення перехідних станів (кожного з енантіомерів субстрату) .
R + B* → P (kR)
S + B* → Q (kS)
Продукти P та Q можуть бути однаковими або різними. Сутністю розщеплення є виділення енантіомеру (S)-A, що не прореагував, в нерацемічному вигляді. Інший енантіомер (R)-A також може бути виділений в нерацемічному вигляді з продукту за допомогою неселективної оберненої реакції. Кінетичне розщеплення повинне відповідати наступним вимогам:
- Якщо А і хіральний реагент беруть в стехіометричному відношенні і реакцію проводять достатньо довго, то обидва енантіомери перетворюються в продукт В, і розщеплення не відбувається. Для досягнення практичного результату необхідно зупинити реакцію недалеко від 100% конверсії.
- Для проведення розщеплення можна використовувати хіральний (нерацемічний) реагент, хіральний розчинник чи хіральний фізичний вплив, при цьому реагент не обов'язково повинен міститися в стехіометричній кількості, тобто може бути хіральним каталізатором.
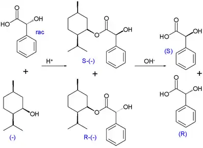
Історія
1858 року Луї Пастер здійснив перше кінетичне розщеплення. Це було ферментативне розщеплення водного розчину рацемічного амоній тартрату за допомогою плісняви Penicillium glaucum. В експерименті Пастера мікроорганізми виступали хіральним реагентом (каталізатором), в метаболізм вступає (R,R)-тартрат, а одержаною вихідною речовиною є (S,S)-тартрат. Першим успішним кінетичним розщепленням в хімічному плані було повідомлення Марквальда та МакКензі 1899 року, в якому рацемічна мигдалева кислота була частково естерифікована за допомогою (-)-ментолу за гомогенних умов, і залишалась (-)-мигдалева кислота.

Перший детальний кінетичний огляд був проведений Бредігом та Фаянсом, які взяли за приклад асиметричне декарбоксилювання камфорової кислоти за участі різних алкалоїдів.
Кінетика
Якщо ввести, що реакція починається з 1 моля рацемічної суміші ([R]0 =[S]0=0,5 в момент часу t=0) і конверсія рівна C (0<C<1), то кількість вилученого матеріалу в момент часу t: [R]+[S]=1-C і його енантіомерний надлишок ee = ([S]-[R])/([S]+[R]). Ефективність кінетичного розщеплення для певного заданого значення конверсії C залежить від величини енантіомерного надлишку ee для залишку субстрату R+S. Ця величина напряму залежить від C і відношення швидкостей реакцій двох енантіомерів (kR/kS=s — фактор селективності). Співвідношення між цими величинами залежить від кінетики. Найчастіше зустрічається випадок, що реакції є пседо-першого порядку за R та S, а B* знаходиться у великому надлишку чи є хіральним каталізатором. Тоді
Після інтегрування і комбінування цих рівнянь
Звідси отримується фундаментальне співвідношення між цими величинами:
Рівняння (2) виражає енантіомерний склад як функцію констант швидкості і часу:
Ця кількість рівна нулю коли t=0 і тоді коли t → ∞. Це означає, що надлишок основного енантіомеру досягає максимуму в якийсь середній момент часу tmax. Цей час відповідає ситуації, коли швидкості реакцій енантіомерів стають рівними (kR[R]=kS[S]). Цей час можна знайти з рівняння (2): tmax= kR/kS=s. В момент часу tmax, [S]/[R]=kR/kS=s, тоді ee=(s-1)/(s+1). Деколи продукти, що утворюються внаслідок кінетичного розщеплення є також хіральними. Якщо P і Q є енантіомерами (позначено відповідно R' і S'), то енантіомерний надлишок продукту визначається як ee'=([R']-[S'])/([R']+[S']). Можна отримати рівняння залежності фактора селективності від ee' та C:
Комбінація рівнянь (1) та (3) дає рівняння (4):
Це рівняння показує, що енантіомерна чистота субстрату, що не вступив в реакцію і хірального продукту кінетичного розщеплення закономірно пов'язані, і цей зв'язок не залежить від фактора селективності. З ростом енантіомерної чистоти вихідної сполуки знижується енантіомерна чистота продукту.