Мезо-сполука
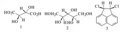
Мезо-сполука (рос. мезо-соединение, англ. meso-compound) — ахiральний член ряду дiастереоiзомерів, в який можуть входи-ти один чи кілька хіральних членів. Тобто це дiастереоiзомер, що має пару(або більше) симетрично розташованих центрів хіральності з протилежною конфігурацією, внаслідок чого одна половина є дзеркальним відбитком другої і тому в цілому молекула є оптично неактивною внаслідок внутрішньої компенсації знака обертання. Пр., з різних структур 1 — 3 (див. рис. праворуч).

Мезо-сполука. Приклади.

Див. також
- Мезомер
Література
- Глосарій термінів з хімії / уклад. Й. Опейда, О. Швайка ; Ін-т фізико-органічної хімії та вуглехімії ім. Л. М. Литвиненка НАН України, Донецький національний університет. — Дон. : Вебер, 2008. — 738 с. — ISBN 978-966-335-206-0.
- The Meaning of Meso Addison Ault Vol. 85 No. 3 March 2008 • Journal of Chemical Education 441.
This article is issued from Wikipedia. The text is licensed under Creative Commons - Attribution - Sharealike. Additional terms may apply for the media files.