Мельдрумова кислота
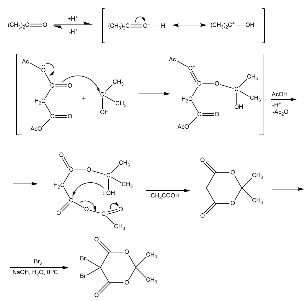
Мельдрумова кислота - кристалічна органічна сполука, отримують з малонової кислоти та ацетону в присутності оцтового ангідриду.
| Загальні | |
|---|---|
| Хімічна назва | 2,2-Діметил-1,3-діоксан-4,6-діон |
![]() | |
| Хімічна формула | C6H8O4 |
| Молярна маса | 144.13 |
| Синоніми | Кислота Мельдрума, ізопропіліден малонат |
| Фізичні властивості | |
| Температура плавлення | 94-95 °C (розкладення) |
| Кислотно-основні властивості | |
| pKa | 5.1 |
Бромування


Бромування кислоти здійснюється швидко через енольну форму.
Застосування
Важливий синтон та реагент в органічному синтезі.
This article is issued from Wikipedia. The text is licensed under Creative Commons - Attribution - Sharealike. Additional terms may apply for the media files.
