Метод інструментальних змінних
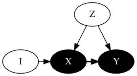
Метод інструментальних змінних (ІЗ, IV — Instrumental Variables) — метод оцінки параметрів регресійних моделей, заснований на використанні додаткових змінних, які не використовуються в моделі, так званих інструментальних змінних. Метод застосовується в разі, коли фактори регресійної моделі не задовольняють умові екзогенністі, тобто є залежними з випадковими помилками. У цьому випадку, оцінки звичайного методу найменших квадратів є зміщеними і конзистентними.
| Метод інструментальних змінних | |
![]() | |
| Коротка назва | IV і VI |
|---|---|
Сутність методу полягає в замінні змінної, що корелює із залишками, інструментальною змінною, яка повинна мати такі властивості:
- корелювати (бажано значною мірою) із заміненою пояснюючою змінною;
- не корелювати із випадковим відхиленням[1].
Примітки
- Методи інструментальних змінних // Економіко-математичні методи та моделі (економетрика): навчальний посібник / І. В. Козьменко. — Суми: Університетська книга, 2014. — С. 308
This article is issued from Wikipedia. The text is licensed under Creative Commons - Attribution - Sharealike. Additional terms may apply for the media files.
