Міра крихкості
М́іра кр́ихкості (рос. мера хрупкости, англ. brittleness measure) — це структурно чутлива характеристика механічної поведінки малодеформованих матеріалів, за числовим значенням якої можна оцінити основні особливості їх деформування і руйнування. При цьому виходять із найзагальніших енергетичних уявлень, які однаково застосовуються як для механічних, так і термічних навантажень, що дозволяє пов’язати деформування та руйнування матеріалу[1].

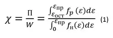
Розглядаючи питому (у відношенні до одиниці об’єму) енергію, витрачену на деформування та подальше руйнування зразків, можна побачити, що для кожного матеріалу характерним є не лише кількість цієї енергії W, але й відношення утворюючих її частин на Рис. а - енергії, витраченої на пружне деформування (потенціальна енергія П), та енергії U, розсіяної (незворотно втраченої) при деформуванні. Згідно цього, була запропонована характеристика механічної поведінки малодеформованих матеріалів, що дорівнює відношенню питомої пружної енергії П, що накопичується в матеріалі до моменту його руйнування, до всієї питомої енергії W, що витрачається на його деформування до того ж моменту.
Ця характеристика була вперше введена в науку в 1973 р. професором Г.А. Гогоці як «міра крихкості»[2][3][4][5] з присвоєним позначенням - Х[6], для неметалічних крихких матеріалів, та набула подальшого широкого поширення в механіці твердого тіла.[4]
Вираз для міри крихкості за Рис.а можна надати в вигляді:

де ε – поточна деформація; σ=fн(ε) – функція, що описує діаграму деформування матеріалу при навантеженні від нульової до граничної деформації при розвантаженні матеріалу від граничної деформації до залишкової εост.
Згідно з формулою 1, чисельно значення міри крихкості змінюються від 1 до 0 (діаграма деформування для випадку χ=1 показана на рис.б)[7]
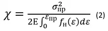
Для матеріалів крива яких σ=fн(ε) може бути апроксимована на рівні достатньої точності прямою (Рис.в), формулу можна записати у вигляді:

Де σ2пр – границя міцності матеріалу, Е – модуль пружності.
Особливістю міри крихкості як характеристики механічної поведінки слугує те, що, по перше, за її допомогою інтегрально враховуються дійсні (не ідеалізовані) закони зв’язку між деформаціями та напруженнями, що є характерними для конкретного матеріалу; по-друге, здатність матеріалу чинити опір руйнуванню. Останнє зумовлене тим, що енергетичні витрати на поширення тріщини поповнюються за рахунок пружної енергії П, що накопичилась в матеріалі до моменту її зачіпання, а опір матеріалу до розвитку тріщин (тріщиностійкість) великою мірою пов’язаний з тими ж ефектами, що зумовлюють розсіяння енергії U (Рис. а-в) при його деформуванні до граничного стану. Це пояснює твердження, що особливості механічної поведінки матеріалів , що визначаються мірою крихкості, можуть бути описані не лише у вигляді виразу 1, але також і у вигляді відношення величин, що характеризують відмінність в їх опорі утворенню та розвитку тріщин[8] та, наприклад, у вигляді відношення швидкості вивільнення пружної енергії деформації Gк до j – інтегралу і т. д.
Оскільки закон зв'язку між деформаціями та напруженнями обумовлений мікромеханічними процесами, що супроводжують навантаженню матеріалу і залежать від особливостей його структури, відповідно за допомогою міри крихкості можна охарактеризувати не лише макро-, але й мікромеханічну поведінку матеріалів.
За допомогою міри крихкості описуються принципово важливі особливості механічної поведінки малодеформованих матеріалів, що не містяться в інших фізико-механічнних характеристиках. Це дозволило вважати міру крихкості новою практично корисною характеристикою механічної поведінки малодеформованих матеріалів.
При орієнтовних оцінках матеріалів наближені значення міри крихкості[9] можуть визначатися за граничними характеристиками діаграм деформування. Для цього формулу 1 запишемо у вигляді:

Де η – коефіцієнт заповнення всієї діаграми деформування; а ηП – коефіцієнт заповнення частини цієї діаграми, що відповідає потенційній енергії П. Припустивши, що відношення ηП/η =1, можна визначити міру крихкості як

При використанні формули 3 нелінійні діаграми деформування апроксимуються прямими, що проводяться під кутом β, тангенс якого відповідає січному модулю в момент руйнування зразка ( при цьому тангенс α чисельно дорівнює модулю пружності матеріалу). Такою апроксимацією вноситься неточність у визначення значення міри крихкості, що обумовлюється особливостями деформування кожного конкретного матеріалу, і тому значення χ′ мають використовуватися з обережністю.
Для інженерного застосування міру крихкості доцільно визначати за формулою 2, а вимірювання для розрахунку міри крихкості найбільш бажано проводити при одноосному розтягуванні зразків або чотирьох-точковому вигині.
Керамічні та вогнетривкі матеріали за особливостями їх механічної поведінки (ступеня непружності) поділяють на крихкі – пружнодеформовані до руйнування та відносно крихкі – непружнодеформовані до руйнування. При цьому, як класифікаційний параметр використовують характеристику їх механічної поведінки – міру крихкості χ, що становить для крихких матеріалів χ=1, для відносно крихких - 0<χ<1).
Див. також
Примітки
- The use of brittleness measure (ξ) to represent mechanical behaviour of ceramics (англ.) // Ceramics International (Impact Factor: 2.09). 01/1989; 15(2):127-129.. — DOI:10.1016/0272-8842(89)90025-4.
- Gogotsi, G.A. (1973). Determination of brittleness of refractories tested for heat resistance (PDF) (англ.). Strength of Materials. Springer. с. 1186–1189.
- Gototsi, G.A. (1977). The deformability characteristics as a factor in the calculation of the criteria of the thermal-shock resistance of refractories. 18.5 (англ.). Refractories and Industrial Ceramics. с. 297–303.
- Gogotsi, George A. (2013). Brittleness Measure of Ceramics [Міра крихкості кераміки]. У Hetnarski, Richard B. Encyclopedia of Thermal Stresses [Енциклопедія термічних напружень] (English). Dordrecht: Springer. с. 497-505. ISBN 9789400727380.
- К вопросу об оценке хрупкости огнеупоров, испытываемых на термостойкость [Текст] / Г. А. Гогоци // Проблемы прочности. - Киев : Институт проблем прочности им.Г.С.Писаренко НАН Украины, 1973. - N : 10. - С.. 26-29
- ГОСТ 23132-78 «Огнеупоры. Буквенные обозначения величин, применяемых при испытаниях», Москва: Издательство стандартов, 1978.
- Гогоци, Г. А. Экспериментальное исследование деформационного состояния термически нагруженных образцов из огнеупорных материалов [Текст] / Г. А. Гогоци, А. Г. Гащенко, А. А. Курашевский // Проблемы прочности. - Киев : Институт проблем прочности им.Г.С.Писаренко НАН Украины, 1972. - N : 4. - С.. 112-115
- Гогоци, Г. А. К вопросу о классификации малодеформируемых материалов по особенностям их поведения при нагружении [Текст] / Г. А. Гогоци // Проблемы прочности. - Киев : Институт проблем прочности им.Г.С.Писаренко НАН Украины, 1977. - N : 1. - С.. 77-82
- К вопросу об оценке хрупкости огнеупоров, испытываемых на термостойкость [Текст] / Г. А. Гогоци // Проблемы прочности. - Киев : Институт проблем прочности им.Г.С.Писаренко НАН Украины, 1973. - N : 10. - С.. 26-29
Джерела
Неупругость керамики и огнеупоров: препринт / Г.А. Гогоци; АН УССР, Ин-т проблем прочности. - К. : ИПП АН УССР, 1982. - 68 с. - русский.