Нікель-вмісна супероксиддисмутаза
Нікель-вмісна супероксиддисмутаза (Ni-СОД) — металопротеїн що, як і інші супероксиддисмутази, захищає клітини від окисного пошкодження каталізуючи диспропорціонування цитотоксичного супероксидного радикалу (O2-) до перекису водню і молекулярного кисню[2]. Супероксидний радикал є активною формою кисню, що уворюється у великих кількостях в процесі фотосинтезу і аеробного клітинного дихання[3]. Рівняння реакції диспропорціонування супероксид-аніону показано нижче:
| Нікель-вмісна супероксиддисмутаза | |
|---|---|
![]() Структура гомогексамерої нікель-вмісної супероксиддисмутази в Streptomyces[1] | |
| Ідентифікатори | |
| Символ | Sod_Ni |
| Інші ідентифікатори | Pfam: |
| Інша інформація | |
Ni-СОД було вперше виділено в 1996 році з бактерій Streptomyces і здебільшого знайдені в прокаріотів[2]. З тих пір вона спостерігалася в ціанобактерій і ряду інших водяних мікробів[2][4]. Ni-СОД є гомогексамером, а це означає, що він має шість ідентичних субодиниць[2][3]. Кожна субодиниця має один нікель-вмісний активний центр[2]. Механізм диспропорціонування включає в себе цикл окислення-відновлення, де одне перенесення електрона каталізується Ni2+/Ni3+ окисно-відновною парою[2][3]. Константа швидкості реакції Ni-СОД близька до тієї величини, яка притаманна дифузійним процесам[3].
Структура

Ni-СОД є глобулярним білком і має форму порожнистої сфери. Це гомогексамер, а це означає, що він має шість ідентичних субодиниць. Кожна субодиниця являє собою структуру з чотирьох правих альфа-спіралей і має молекулярну масу 13,4 кДа (117 амінокислотних залишків).[5]. Шість іонів нікелю є кофакторами (по одному для кожної із субодиниць). Субодиниці також мають гідрофобний кор, що потрібний для їх правильного згортання. Кор складається з 17 аліфатичних амінокислотних залишків.
Нікель-зв'язуючий гак
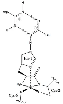
Цікаво відзначити, що всі амінокислотні залишки, що залучені до каталізу та зв'язування іона нікелю розташовані в межах перших шести залишків від N-кінця кожної субодиниці[2]. Цей регіон має вигнуту і невпорядковану форму за відсутності іона нікелю, тому його називають "нікель-зв'язуючий гак". Після зв'язуння нікелю цей мотив набуває дуже впорядковану структуру і утворює активний центр. Нікель-зв'язуючий гак складається з консервативної послідовності H2N-His-Cys-X-X-Pro-Cys-Gly-X-Tyr (де Х може бути будь-яким амінокислотним залишком, тобто положення не зберігається)[5]. Проліновий залишок в положенні 5 створює різкий поворот, надаючи цьому регіону форму гака[1][5]. His-1, Cys-2, Cys-6 і N-кінець фіксують нікелевий кофактор. Після зв'язування іона нікелю, формується впорядкована структура нікель-зв'язуючий гак, що стабілізується за рахунок утворення водневих зв'язків з амінокислотними залишками на стику двох різних субодиниць[1].
Активний центр

Шість активних центрів розташовані в нікель-зв'язуючому гаку кожної субодиниці[2] . Активний центр, як і решта нікель-зв'язуючого гаку, невпорядкована в нікель-незв'язаному стані.
Ліганди
Ni-СОД володіє унікальним набором лігандів, це єдина супероксиддисмутаза, що має інші ліганди, окрім гістидину, аспартату або води. Амінокислотні залишки, які утворюють нікелеві кофактори-ліганди є цистеїн-2, цистеїн-6 та гістидин-1. Екваторіальні ліганди включають тіолати цистеїну-2 і цистеїну-6, а також депротонований каркасні атоми нітрогену аміду та N-кінцевого аміну[3]. Це один з небагатьох прикладів каркасної амідної групи, що діє як метал-ліганд в білку. Нітроген з гістидину 1 діє як аксіальний ліганд[2][3].
Тіолати-ліганди є ключовими, вони регулюють окисно-відновний потенціал нікелевого кофактора при диспропорціонуванні супероксиду. Проте, сірко-нікелеві зв'язки повинні бути дуже чутливими до окисного пошкодження[2][6]. Зважаючи на те, що Ni-СОД здійснює диспропорціонування активних форм кисню, а продуктом реакції є перекис водню, то цистеїн як ліганд здається поганим вибором. Цілком можливо, що каркасний амідний і амінокінцевий ліганди використовуються для захисту сірко-нікелевих зв'язків від окисного пошкодження[3]. Іншим можливим поясненням цього є те, що сірко-нікелеві зв'язки просто ніколи не вступають в безпосередній контакт з O2- або перекисом водню[1].
Координаційна геометрія нікелевого кофактора
В окисленого ферменту координаційна геометрія нікелю (III) характеризується пірамідальним розташуванням донорних атомів[2][3][7]. Проте, чи є атом нітрогену з гістидину 1 аксіальним лігандом досі невідомо[3][4][7]. Якщо гістидин не є лігандом у відновленому ферменті, то кофактор нікель (II) матиме планарне розташування донорних атомів[2][5][7]. Однак, His-1 може залишатися на місці протягом усього окисно-відновного циклу, а це означає, що нікелевий кофактор завжди буде мати пірамідальне з квадратом в основі розташування донорних атомів. His-1 утримується на місці над нікелевим кофактором в щільній мережі водневих зв'язків із залишками глутамату та аргініну[2].
Механізм реакції
Механізм реакції, що каталізують нікель-вмісні супероксиддисмутази є аналогом високоефективного механізму "пінг-понг" мідно-цинкової супероксиддисмутази, де O2- послідовно відновлює і окисляє нікелевий кофактор[2][8]. Є дві окремі стадії переносу електрона, які каталізує нікелевий кофактор. Рівняння реакції цих стадій показано нижче:
Є кілька аспектів механізму диспропорціонування, що до сих пір незрозумілі. Наприклад, джерело H+ та механізм переносу як і раніше туманні. H+, швидше за все, надається в активному центрі субстратом, а це означає, що супероксид входить у фермент в його протонованій формі (HO2)[1][2][3]. Диспропорціонування, швидше за все, каталізується у другій координаційній сфері, але механізм перенесення електронів до сих пір обговорюється[2][3]. Цілком можливо, що має місце тунельний ефект[2]. Нікель-вмісна супероксиддисмутаза є неймовірно ефективним ферментом, що вказує дуже швидкий окисно-відновний механізм. Це означає, що великі структурні перебудови або драматичні зміни в координаційній сфері навряд чи будуть брати участь в каталітичному механізмі[2].
Поширеність
Нікель-вмісна супероксиддисмутаза в основному присутня в бактерій. Серед еукаріот нікель-вмісна супероксиддисмутаза знайдена лише в цитоплазмі ряду зелених водоростей[8]. Ni-СОД був вперше виділений з бактерій Streptomyces, які переважно знаходяться в ґрунті. Нікель-вмісна супероксиддисмутаза Streptomyces є найбільш інтенсивно вивченою супероксиддисмутазою на сьогоднішній день. Ці ферменти, як в даний час відомо, існують в ряді інших прокаріотів, в тому числі ціанобактеріях і кількох видах актиноміцетів. Деякі з видів актиноміцетів, також містять нікель-вмісну супероксиддисмутазу Micromonospora rosia, Microtetraspora glauca та Kitasatospora griseola[1] . Ni-СOД не було знайдено в археїв[1] .
Регуляція
Нікель є основним регулюючим фактором експресії Ni-СОД. Підвищена концентрація нікелю в цитозолі збільшує експресію гену sodN, який кодує Ni-СОД в Streptomyces. При відсутності нікелю sodN не транскрибується, вказуючи на позитивну регуляцію експресію Ni-СОД нікелем. Згортання ферменту також залежить від присутності нікелю в цитоплазмі. Як уже згадувалося вище, нікель-зв'язуючий гак невпорядкований за відсутності нвкелю.
Нікель також діє як негативний регултор, пригнічуючи транскрипцію інших супероксиддисмутаз. Зокрема, експресія залізо-вмісної супероксиддисмутази (Fe-СОД) пригнічується нікелем в Streptomyces coelicolor[9]. Прикладом квінтесенцієї такого негативного регулювання є Nur (нікель-зв'язуючий репресор)[4]. За присутності нікелю Nur зв'язується з промотором sodF, зупиняючи експресію залізо-вмісної супероксиддисмутази.
Посилання
- Wuerges J, Lee JW, Yim YI, Yim HS, Kang SO, Djinovic Carugo K. Crystal structure of nickel-containing superoxide dismutase reveals another type of active site. Proc. Natl Acad. Sci. USA 2004;101:8569-8574.
- Shearer, Jason (2014). Insight into the Structure and Mechanism of Nickel-Containing Superoxide Dismutase Derived from Peptide-Based Mimics. Accounts of Chemical Research 47: 2332–2341. doi:10.1021/ar500060s.
- Pelmenschikov, Vladimir (2006). Nickel Superoxide Dismutase Reaction Mechanism Studied by Hybrid Density Functional Methods. J. Am. Chem. Soc. 128 (23): 7466–7475. PMID 16756300. doi:10.1021/ja053665f.
- Zamble, Deborah B.; Li, Yanjie (2009). Nickel Homeostasis and Nickel Regulation: an Overview. Chemical Reviews 109 (10): 4617–4643. doi:10.1021/cr900010n.
- Barondeau, David P. (2004). Nickel Superoxide Dismutase Structure and Mechanism. Biochemistry 42 (25): 8038–8047. PMID 15209499. doi:10.1021/bi0496081.
- Abreu, Isabel, A.; Cabelli, Diane, E. (2009). Superoxide dismutateses-a review of the metal associated mechanistic variations. Biochimica et Biophysica Acta 1804 (2): 272. doi:10.1016/j.bbapap.2009.11.005.
- Neupane, Kosh P.; Gearty, Kristie; Ashish, Francis; Shearer, Jason (2007). Probing Variable Axial Ligation in Nickel Superoxide Dismutase Utilizing Metallopeptide-Based Models: Insight into the Superoxide Disproportionation Mechanism. J. Am. Chem. Soc. 129 (47): 14605–14618. PMID 17985883. doi:10.1021/ja0731625.
- Sheng, Yuewei (2014). Superoxide Dismutases and Superoxide Reductases. Chemical Reviews 114: 3854–3918. doi:10.1021/cr4005296.
- Mulrooney, Scott B.; Hausinger, Robert P. (2003). Nickel uptake and utilization by microorganisms. FEMS Microbiology Reviews 27: 239–261. doi:10.1016/S0168-6445(03)00042-1.
