Нітроксолін
Нітроксолін — синтетичний антибіотик, що є похідним з групи 8-оксихіноліну для перорального застосування. У зв'язку із випадками важких побічних реакцій на препарат застосування нітроксоліну у більшості країн заборонено.[1]
![]() | |
|---|---|
Нітроксолін
| |
| Систематизована назва за IUPAC | |
| 5-nitroquinolin-8-ol | |
| Класифікація | |
| ATC-код | J01 |
| PubChem | |
| CAS | |
| DrugBank | |
| Хімічна структура | |
| Формула | C9H6N2O3 |
| Мол. маса | 190,156 г/моль |
| Фармакокінетика | |
| Біодоступність | НД |
| Метаболізм | НД |
| Період напіввиведення | НД |
| Екскреція | Нирки |
| Реєстрація лікарського засобу в Україні | |
| Назва, фірма-виробник, країна, номер реєстрації, дата | 5-HOK®, «Лек фармацевтична компанія д.д.»,Словенія UA/8295/01/01 05.04.2013-05/04/2018 |
Фармакологічні властивості
Нітроксолін — синтетичний антибіотик, що є похідним 8-оксихіноліну широкого спектра дії. Препарат має переважно бактеріостатичну дію, що полягає у порушенні синтезу ДНК у клітинах патогенних бактерій. До нітроксоліну чутливі такі збудники: стафілококи, Enterococcus spp., стрептококи, Escherichia coli, Enterobacter spp., сальмонели, клебсієли, нейсерії, шиґели, Proteus spp., Bacillus spp., туберкульозна паличка; а також грибки роду Candida та трихомонади. Контрольовані клінічні дослідження препарату по застосуванні у лікуванні захворювань сечовидільних шляхів не проводилися.[1] Згідно з дослідженнями, які були проведені у США, нітроксолін має здатність інгібувати ангіогенез у злоякісних пухлин, що зупиняє ріст пухлини, особливо у пухлин сечового міхура та молочної залози.[2]
Фармакокінетика
Нітроксолін при пероральному прийомі швидко всмоктується з шлунково-кишкового тракту, біодоступність препарату не вивчена. Максимальна концентрація в крові нітроксоліну досягається протягом 15—30 хвилин. Високі концентрації препарат створює лише в нирках протягом 1—2 годин після прийому. Даних за проникнення препарату через гематоенцефалічний бар'єр немає. Даних за проникнення через плацентарний бар'єр та виділення в грудне молоко немає. Метаболізм препарату не досліджений. Виводиться нітроксолін з організму переважно нирками у вигляді метаболітів. Період напіввиведення препарату не досліджений.
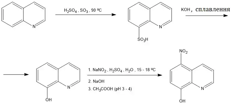
Отримання

Показання до застосування
Нітроксолін застосовується при гострих та хронічних інфекціях сечовидільних шляхів, що викликані бактеріями та грибками, та для профілактики рецидивів інфекцій сечовивідних шляхів.
Побічна дія
У зв'язку із відсутністю контрольованих клінічних досліджень, точна частота побічних реакцій при застосуванні препарату невідома.[1] Згідно інформації виробників препарату, при застосуванні нітроксоліну можливі наступні побічні ефекти[3]:
- Алергічні реакції — нечасто висипання на шкірі, свербіж шкіри; дуже рідко алергічні реакції з розвитком тромбоцитопенії (згідно даних частини клінічних досліджень, частота алергічних реацій при застосуванні препарату може складати 5,1 % випадків застосування).[1]
- З боку травної системи — дуже рідко нудота, блювання, втрата апетиту, порушення функції печінки, зниження активності амінотрансфераз в крові.
- З боку серцево-судинної системи — рідко тахікардія.
- З боку нервової системи — рідко атаксія, головний біль, запаморочення, парестезії, полінейропатія, при тривалому прийомі описані поодинокі випадки невриту зорового нерва.
Викликає катаракту очей у щурів[4].
Протипокази
Нітроксолін протипоказаний при підвищеній чутливості до препарату, при вагітності та годуванні грудьми, при важкій печінковій та нирковій недостатності, дефіциті глюкозо-6-фосфатдегідрогенази, катаракті, невритах та поліневритах, дітям до 2 років.
Форми випуску
Нітроксолін випускається у вигляді таблеток по 0,05 г.
Застосування у ветеринарії
Нітроксолін разом із дротаверином та екстрактами лікарських рослин входить до складу комбінованого препарату «Стоп цистит» для собак та котів для лікування урологічних захворювань у домашніх тварин.[5]
Примітки
- http://www.antibiotic.ru/rus/all/metod/nlr/03.shtml (рос.)
- http://medstrana.com/news/2515 (рос.)
- http://www.vidal.ru/drugs/molecule/753 (рос.)
- Consolidated List of Products Whose Consumption and/or sale Have Been Banned, Withdrawd, Severely Restricted or Not Allowed by Governments, Twelfth issue (англ.). — United Nations, 2005. — P. 191. — 598 p.
- http://www.vetlek.ru/directions/?id=664 (рос.)
Література
- Фармацевтична хімія: Підручник/ Ред. П. О. Безуглий. — Вінниця: Нова Книга, 2008. — 560 с. ISBN 978-966-382-113-9
- Фармакологія: підручник / І. В. Нековаль, Т. В. Казанюк. — 4-е вид., виправл. — К.: ВСВ «Медицина», 2011.— 520 с. ISBN 978-617-505-147-4
