Оксид осмію
Тетраоксид Осмію - це хімічна сполука, що має формулу OsO4. Ця сполука має дуже широке використання, незважаючи на малу поширеність та високу вартість Осмію. Вона має низку цікавих фізичних, хімічних та фізико-хімічних властивостей.
| Тетраоксоосмій | |
|---|---|
![]() |
![]() |
| Інші назви | Осмій(VIII) оксид, осмієвий ангідрид, тетраоксид осмію |
| Ідентифікатори | |
| Номер CAS | 20816-12-0 |
| PubChem | Шаблон:Pubchemcite Шаблон:Pubchemcite |
| Номер EINECS | 244-058-7 |
| Назва MeSH | Osmium+tetroxide |
| ChEBI | 88215 |
| RTECS | RN1140000 |
| SMILES |
O=[Os](=O)(=O)=O |
| InChI |
1S/4O.Os |
| Номер Бельштейна | 11406415 |
| Властивості | |
| Молекулярна формула | OsO4 |
| Молярна маса | 254,23 г/моль |
| Зовнішній вигляд | слабко-жовті кристали |
| Густина | 4,91 г/см3[1] |
| Тпл | 40,25 °C |
| Ткип | 129,7 °C |
| Розчинність (вода) | 6,5 г/100 мл[1] |
| Розчинність (етанол) | розчинний |
| Розчинність (етери) | розчинний |
| Небезпеки | |
| MSDS | ICSC 0528 |
| Індекс ЄС | 076-001-00-5 |
| Класифікація ЄС | |
| R-фрази | Шаблон:R26/27/28, R34 |
| S-фрази | (S1/2), Шаблон:S7/9, S26, S45 |
| NFPA 704 |
![]() 0
4
1
OX
|
| Пов'язані речовини | |
| Інші катіони | Тетроксид рутенію |
| Інші (осмій оксиди) | Осмій(IV) оксид |
| Якщо не зазначено інше, дані наведено для речовин у стандартному стані (за 25 °C, 100 кПа) | |
| Інструкція з використання шаблону | |
| Примітки картки | |
Фізичні властивості

Тетраоксид Осмію — слабка жовта кристалічна легкоплавка та летюча речовина, що має (моноклінну кристалічну сингонію[2]) з характерним неприємним запахом, що нагадує хлор[3] та озон. Фактично назва елементу «Осмій» походить від osme, грецькою це означає запах. OsO4 є летким навіть за кімнатної температури. Він дуже добре розчиняється у багатьох органічних розчинниках, а також помірно розчинний у воді із якою оборотно реагує, з утворенням Осмієвої кислоти (див. нижче).[4] Чистий тетроксид осмію є безбарвним[5] а його жовте забарвлення обумовлене домішками диоксиду Осмію (OsO2)[6] .Також оксид осмію(VIII) існує у вигляді чорного порошку,[7] однак ці дані не мають беззаперечного підтвердження. Молекула тетроксиду Осмію тетраедральна та неполярна. Саме ця властивість обумовлює здатність OsO4 проникати крізь клітинні мембрани. Наприклад, OsO4 у 518 разів більш розчинний у тетрахлорметані CCl4, ніж у воді.
Структура та електронна конфігурація

Маючи d0 конфігурацію, Os(VIII) має здатність формувати тетраедричні комплекси із лігандами. Його тетраедрична структура подібна до структури перманганат- MnO4− та хромат-іонів CrO42−.
Елемент осмій в OsO4 має формальний ступінь окиснення +8, найвищу що можуть мати перехідні метали. Атом осмію має 8 валентних електронів, що обумовлює склад його комплексних сполук.
Синтез
OsO4 повільно утворюється при реакції порошкового осмію з киснем O2 за 298 K. За 670 K реакція іде значно швидше.[8]
- Os + 2 O2 → OsO4
Реакції
Оксофториди
Осмій утворює чисельні оксофториди, що дуже чутливі до вологи. Пурпурний cis-OsO2F4 утворюється при 77 K у безводному розчині HF при взаємодії тетроксиду осмію та дифториду криптону:[9]
- OsO4 + 2 KrF2 → cis-OsO2F4 + 2 Kr + O2
OsO4 також реагує з F2 з утворенням жовтого OsO3F2:[10]
- 2 OsO4 + 2 F2 → 2 OsO3F2 + O2
OsO4 реагує з одним єквівалентом [Me4N]F за 298 K та 2 еквівалентами за 253 K:[8]
- OsO4 + [Me4N]F → [Me4N][OsO4F]: OsO4 + 2 [Me4N]F → [Me4N]2[cis-OsO4F2]
Окислення алкенів
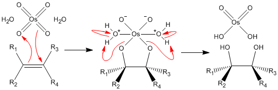
OsO4 каталізує утворення cis-гліколів в реакції алкенів з пероксидом водню в водному середовищі. Каталітична реакція описується схемою[11]
- R2C=CR2 + H2O2 → R2C(OH)-C(OH)R2.
Механізм цієї реакції полягає в тому, що OsVIIIO4 приєднується до алкенів з утворенням R2C=CR2 циклічних «естерів» R4C2O2OsVIO2, що гідролізують з утворенням віцинального діолу та вивільняють тетраоксид осмію (OsVI):
Основи Льюіса такі як четвертинні аміни та піридин підвищують швидкість реакції. Це «лігандне прискорення» обумовлене утворення аддукту OsO4L, який більш швидко приєднується до алкену. Якщо амін хіральний, процес дегідроксилювання може проходити енантіоселективно.
OsO4 використовується майже завжди у каталітичних властивостях зважаючи на його високу токсичність та вартість. Осмієвий каталізатор регенерується окисниками, наприклад такими як H2O2, N-Метілморфолін-N-оксид (NMO), та червона кров'яна сіль [[K<sub>3</sub>Fe(CN)<sub>6</sub>]]. Ці окисники самі по собі не взаємодіють із алкенами. Також в цій реакції застосовують як джерело тетраокиду осмію дигідрат Осмату(VI) калію(K2OsO4•2H2O) та гідрат хлориду осмію(III) (OsCl3•xH2O) що утворює оксид осмію (VIII) в присутності надлишку осисника.[12]
Інші реакції
OsO4 не реагує із більшістю вуглеводнів.[13] Він розчиняється у водних розчинах лугів, утворюючи осмати OsO2(OH)2−4.[14] OsO4 є Кислота Льюїса, що при взаємодії з Основою Люїса, коли основою є амін, оксид осмію зазнає заміщення. Наприклад, з аміаком можна отримати нітро-оксид:
- OsO4 + NH3 + KOH → K[Os(N)O3] + 2 H2O
Аніон [Os(N)O3]− є ізоструктурним та ізоелектронним до OsO4. Використання первинного аміну tert-BuNH2 приводить до утворення імідопохідного:
- OsO4 + 4 Me3CNH2 → Os(NCMe3)4 + 4 H2O
OsO4 чудово розчиняється у трет-бутанолі та цей розчин легко відновлюється воднем до металічного осмію. Осмієва чернь використовується як каталізатор гідрогенування широкого спектра органічних речовин що мають кратний зв'язок.
- OsO4 + 4 H2 (g) → Os (s) + 4 H2O
OsO4 зазнає «відновного карбонілювання» під дією монооксиду вуглецю в метанолі за 400 K та 200 бар тиску з отриманням трикутного кластера Os3(CO)12:
- 3 OsO4 + 24 CO → Os3(CO)12 + 12 CO2[8]
В цій реакції Осмій змінює ступінь окислення на 8 ступенів, до 0.
Використання
Органічний синтез
В органічному синтезі OsO4 широко використовується для окислення алкенів у віцинальні діоли. Див. реакцію та механізм вище.
Тетраоксид Осмію також використовують у каталітичних властивостях для отримання віцинальних аміноспиртів.
Разом із періодатом натрію, OsO4 використовується для окиснювального розщеплення алканів (окислення Lemieux-Johnson) де періодат служить для розщеплення діолу що утворився шляхом дигідроксилювання, та окиснення OsO3 знов до OsO4. Ця реакція еквівалентна озонолізу. Вона використовується для синтезу ізостевіолу.[15]

Використання у біології
OsO4 широко використовується як фарбуючий агент у трансмісійній електронній мікроскопії (TEM) для надання контрасту.[16] Як барвник ліпідів, він також застосовується у скануючій електронній мікроскопії (SEM). Він вводить метал безпосередньо у мембрани кліток, створюючи високу електронну емісію без потреби покривати весь зразок металом. У фарбуванні мембран, тетраоксид осмію зв'язує фосфоліпіди, що створює контраст з оточенням протоплазмаою (цитоплазмою). Також тетраоксид осмію використовується для фіксації об'єктів у з'єднанні з HgCl2. Він швидко знищує фізіологічні процеси у зразках, таких як протозоа. OsO4 стабілізує велику кількість протеїнів шляхом перетворення їх у гель при цьому не змінюючи їх структурних особливостей. Тканини, що стабілізовані OsO4 не коагулюють під дією алкоголю.[13] Тетраоксид осмію також використовується як барвник ліпідів у оптичній мікроскопії.[17] OsO4 а також забарвлює рогівку людини (див. Безпека).
Фарбування полімерів
Він також вікористовується для кополімерів. Наприклад, стірен-бутадієновий блок-кополімер має центральний полібутадієновий ланцюг із полістіреновими кінцевими групами. Якщо цей кополімер обробити OsO4, бутадієнова матриця переважно з ним взаємодіє. Присутність важкого металу дозволяє легко знайти локалізацію цих груп за допомогою трансмісійної електронної мікроскопії.
Осмет
OsO4 може бути збережений в формі кристалічної золотистої речовини. Осмет це комплекс OsO4 з гексаміном. Він не розточує отруйну пару, та OsO4 може бути з нього легко виділений. Осмет розчинний у тетрагідрофурані (THF) та водному буфері для отримання (0.25 %) робочого розчину OsO4.[18]
Концентрування осмієвої руди
OsO4 є проміжним продуктом переробки осмієвої руди. Осмієві мінерали реагують з Na2O2 при прожарюванні утворюючи [OsO4(OH)2]2− які реагують потім з хлором (Cl2), утворюючи OsO4. Оксид розчиняють у спиртовому NaOH та отримують [OsO2(OH)4]2−, що реагують із NH4Cl, та дають OsO2Cl2(NH4)4. Його прожарюють у атмосфері водню (H2) та отримують металевий осмій (Os).[4]
Аддукти з фулеренами
OsO4 дозволяє підтвердити модель будови фулерену, С60. Аддукт, що утворюється із похідним OsO4, це C60(OsO4)(4-терт-бутилпіридин)2. Цей аддукт порушує сіметрію фулерену, дозволяючи кристалізувати сполуку та встановити будову C60 за допомогою ренттгенографії.[19]
Безпека
OsO4 є високотоксичним, навіть за низької експозиції, поводження з ним вимагає суворого дотримання правил хімічної безпеки. Вдихання кількостей, що можна помітити за запахом може стати причиною виникнення набряку легенів, та за великої експозиції — смерть. Симптоми розвиваються протягом декількох годин після вдихання. OsO4 також вражає рогівку ока, однак за умов обережної роботи випадки виникнення сліпоти не спостерігалися. Дозволена концентрація (8 годин робочого часу) — 0.002 mg/m3 (в розвинених країнах).[3] Тетраоксид осмію проникає крізь пластик, тому його треба зберігати у склі на холоді чи у запаяних скляних ампулах.[13]
Тетраоксид осмію може бути зруйнований вибухом[20]
Примітки
- Sicherheitsdatenblatt (Merck) (при 20 °C)
- Krebs B., Hasse K.D. (1976). Refinements of the Crystal Structures of KTcO4, KReO4 and OsO4. The Bond Lengths in Tetrahedral Oxo-Anions and Oxides of d0 Transition Metals. Acta Crystallographica B 32: 1334–1337. doi:10.1107/S056774087600530X.
- Documentation for Immediately Dangerous to Life or Health Concentrations (IDLHs). Centers for Disease Control. Процитовано 25 жовтня 2010.
- Mike Thompson. Osmium tetroxide (OSO4). Bristol University. Архів оригіналу за 12 липня 2013. Процитовано 24 серпня 2007.
- Butler and Harrod, Inorganic Chemistry: Principles and Applications, p.343
- Cotton and Wilkinson, Advanced Inorganic Chemistry, p.1002
- Alfa Aesar MSDS. Архів оригіналу за 12 липня 2013. Процитовано 25 жовтня 2010.
- Шаблон:Housecroft2nd
- K. O. Christe, D. A. Dixon, H. G. Mack, H. Oberhammer, A. Pagelot, J. C. P. Sanders and G. J. Schrobilgen (1993). Osmium tetrafluoride dioxide, cis-OsO2F4. J. Am. Chem. Soc. 115 (24): 11279–11284. doi:10.1021/ja00077a029.
- Cotton, S. A. (1997). Chemistry of Precious Metals. London: Chapman and Hall. ISBN 0-7514-0413-6.
- D. J. Berrisford, C. Bolm and K. B. Sharpless (1995). Ligand-Accelerated Catalysis. Angewandte Chemie International Edition in English 34 (10): 1059–1070. doi:10.1002/anie.199510591.
- Yasukazu Ogino, Hou Chen, Hoi-Lun Kwong and K. Barry Sharpless (1991). On the timing of hydrolysis / reoxidation in the osmium-catalyzed asymmetric dihydroxylation of olefins using potassium ferricyanide as the reoxidant. Tetrahedron Letters 32 (32): 3965. doi:10.1016/0040-4039(91)80601-2.
- M. A. Hayat (2000). Principles and techniques of electron microscopy: biological applications. Cambridge University Press. с. 45–61. ISBN 0521632870.
- Thomas R. Dulski A manual for the chemical analysis of metals, ASTM International, 1996, ISBN 0-8031-2066-4 p. 130
- B. B. Snider, J. Y. Kiselgof and B. M. Foxman (1998). Total Syntheses of (±)-Isosteviol and (±)-Beyer-15-ene-3β,19-diol by Manganese(III)-Based Oxidative Quadruple Free-Radical Cyclization. J. Org. Chem. 63 (22): 7945–7952. doi:10.1021/jo981238x.
- Bozzola, John J.; Russell, Lonnie D. (1999). Specimen Preparation for Transmission Electron Microscopy. Electron microscopy : principles and techniques for biologists. Sudbury, Mass.: Jones and Bartlett. с. 21–31. ISBN 9780763701925.
- F. Di Scipio et al. (2008). A simple protocol for paraffin-embedded myelin sheath staining with osmium tetroxide for light microscope observation. Microscopy Research and Technique 71 (7): 497. PMID 18320578. doi:10.1002/jemt.20577.
- Kiernan, J.A. Department of Anatomy & Cell Biology, The University of Western Ontario.
- J. M. Hawkins, A. Meyer, T. A. Lewis, S. Loren and F. J. Hollander (1991). Crystal Structure of Osmylated C60: Confirmation of the Soccer Ball Framework. Science 252 (5003): 312–313. PMID 17769278. doi:10.1126/science.252.5003.312.
- Shaoni Bhattacharya (7 квітня 2004). Experts divided over poison bomb claim. New Scientist. Архів оригіналу за 21 вересня 2008. Процитовано 1 березня 2011.



