Первинний нуклеосинтез
Первинний нуклеосинтез — початкова стадія нуклеосинтезу. Він відбувся у перші три хвилини після Великого вибуху.
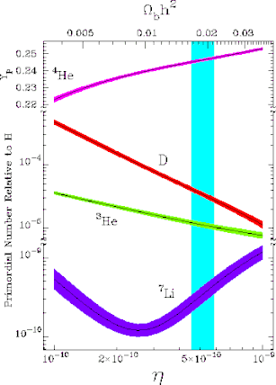
Впродовж цієї стадії утворилися легкі елементи — протій ≈77%, гелій-4 (≈23 %), гелій-3 (3×10-4 %), дейтерій (5×10-5 %) та літій-7 (5×10-10 %).
Умови й розвиток. Основні реакції.
При температурах, що відповідають тепловій кінетичній енергії ядра не могли існувати, тому що вони ефективно руйнувалися при зіткненнях із фотонами, електронами та позитронами. Речовина складалась із протонів та нейтронів. Впродовж розширення та охолодження Всесвіту ( ), концентрація нейтронів спадала відповідно до розподілу Больцмана у рівноважному газі:
,
де — різниця мас спокою нейтрона та протона.
Рівновага підтримувалася реакціями слабкої взаємодії. Якби термодинамічна рівновага підтримувалася по мірі охолодження й надалі, то очевидно, концентрація нейтронів експоненційно прямувала б до нуля, і ні про який нуклеосинтез не було б і мови. Однак охолодження призводить до порушення рівноваги так, що при температурі відношення концентрацій "зупиняється" на значенні 0,19. Це дає змогу для перебігу першої реакції нуклеосинтезу: , при цьому енергії та концентрації фотонів вже не достатньо для руйнування ядер дейтерію. Відбувається накопичення ядер, та перебіг подальших реакцій:
Далі реакції не йдуть, тому що в природі немає стійких хімічних елементів з атомною масою 5, а концентрація ядер гелію занадто низька, щоб могли ефективно перебігати реакції горіння гелію з утворенням берилію-7 та вуглецю-12. Ця обставина є принциповою у порівнянні первинного нуклеосинтезу з нуклеосинтезом у зорях. Епоха первинного нуклеосинтезу завершилася через .
Відносний склад первинної речовини
Найважливіший параметр розрахунків відносного змісту первинних елементів -- питома ентропія на 1 баріон, яка не змінюється в ході розширення. Ця величина також може бути виражена в показниках щільності баріонів (-- фізична баріонна густина). Таким чином, теоретично визначається хімічний склад первинної (дозоряної) речовини за кількістю атомів. Числа, що зазначені на початку, добре співвідносяться з сучасними розрахунками за спектрами далеких квазарів.
Цікаво, що спостереження первинного хімічного складу накладають незалежні обмеження на частку баріонної речовини у Всесвіті:
Спостереження речовини, що світиться в галактиках, дає оцінку . Звідси випливає важливий висновок: у Всесвіті має існувати невидима баріонна речовина, маса якої в десятки разів перевищує масу тієї речовини, що світиться (тобто, випромінює електромагнітні хвилі). Із незалежних міркувань (зростання збурень, формування великомасштабної структури Всесвіту) роблять висновок про необхідність існування ще й небаріонної прихованої маси. Незалежні свідоцтва існування значної частки небаріонної прихованої маси ( ) випливають зі спостереження кривих обертання спіральних галактик, рентгенівського випромінювання газу в скупченнях галактик, гравітаційного лінзування на скупченнях галактик, з аналізу динаміки галактик у групах і скупченнях та ін.

Первинний нуклеосинтез і нейтрино
На пост-інфляційній стадії розширення Всесвіту зв'язок температури первинної речовини з часом від початку розширення ( ) випливає з формули залежності загальної густини матерії від часу :
де, — безрозмірна величина, що характеризує співвідношення концентрації частинок до концентрації фотонів (так, для рівноважних відповідає ). Тобто, з аналізу первинного хімічного складу можна вивести обмеження на число сортів слабо взаємодіючих частинок. Цей метод вперше був запропонований радянським астрофізиком В.Ф.Шварцманом в 1969 р.[1] У 1999 р. з експериментально знайденого значення частки первинного гелію було знайдено обмеження на число сортів легких нейтрино , верхня межа 3-: , що цілком відповідає сучасним результатам з прискорювача LEP (ЦЕРН)[джерело?]: .
Згідно сучасної теорії елементарних частинок, нейтрино можуть мати масу спокою. Дані з нейтринного детектору Супер-Камиоканде свідчать про осциляції різних сортів нейтрино, що може відбуватися лише за ненульової маси спокою. Виміряне значення квадрату різниці мас . Цікаво, що при масі спокою принаймні внесок нейтрино в загальну густину у Всесвіті є порівняним із внеском баріонів видимої речовини в зорях та туманностях.
Джерела
- Шварцман, Вікторій (00/1969). Density of relict particles with zero rest mass in the universe. (english). JETP Lett., Vol. 9, p. 184 - 186.