Проєкція Хеуорса
Проéкція Хеуóрса (перспективна формула Хеуорса) — спосіб зображення на площині просторової будови молекул вуглеводів у циклічній формі. Запропоновано В. Хеуорсом в 1929 році.


Правила побудови
Піранозний чи фуранозний цикл вуглеводів неплоский: переважною конформацією шестичленного (піранозного) циклу є крісло, п'ятичленного (фуранозного) — конверт. Для запису проєкції цей цикл подумки сплощуємо. Розташовуємо плоский цикл горизонтально так, щоб його атом оксигену перебував якнайдалі від спостерігача (для шестичленного циклу — дещо праворуч, щоб якнайдалі перебував зв'язок циклу C-O), а ацетальний атом карбону (з'єднаний з двома атомами оксигену, аномерний) — праворуч. Найближчий до спостерігача C-C зв'язок циклу виділяємо жирною лінією, сусідні з ним малюємо клиноподібними. Замісники позначаємо строго вище і нижче площини циклу, не намагаючись відтворити справжні валентні кути; атоми гідрогену, що є замісниками, не позначаємо.
Запам'ятати розташування глікозидного гідроксилу (приєднаного до аномерного атома карбону) допомагає мнемонічне правило: α — хвостик літери вгорі, гідроксил під площиною; β — хвостик літери унизу, гідроксил над площиною.
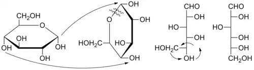
Перехід до проєкції Фішера
Розкриття циклічної форми вуглеводів природно описувати за допомогою також проєкцій Фішера. Перейти між цими типами проєкцій, зберігаючи конфігурації хіральних центрів, можна так:
- розгортаємо кільце вертикально таким чином, щоб аномерний атом карбону опинився угорі, а оксигеновий атом кільця подалі від глядача;
- всі замісники зліва від площини кільця опиняться в формулі Фішера також зліва. Розриваємо ацетальний зв'язок (позначено хвилястою лінією), ланцюг спрямляємо, розгорнувши вниз;
- циклічною перестановкою замісників атом карбону опускаємо до головного (вертикального) ланцюга.

Особливу увагу слід приділити випадкам, коли в проєкції Хеуорса конфігурація замісників поза кільцем позначена за допомогою проєкції Фішера (приміром, для одного хірального центру поза кільцем фуранозної форми глюкози). Конфігурації тих хіральних центрів слід контролювати на кожному кроці перетворень, маючи на увазі правила дій із проєкцією Фішера.
Джерела
- IUPAC Gold Book. Процитовано 27 жовтня 2014.
- Ластухін Ю.О. (2005). Хімія природних органічних сполук: Навч. посібник. Львів: НУ «Львівська політехніка», «Інтелект-Захід». ISBN 966-7597-47-4.