Реакція Ганча
Реакція Ганча (англ. Hantzsch reaction)
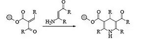
- 1. Утворення піридинів циклоконденсацією естерів β-кетокислот з альдегідами та амоніаком (можна виходити з β-амінокротонового естеру) з подальшою оксидацією інтермедіатного дигідропіридину. Відбувається при нагріванні в спиртах. Реакція використовується в комбінаторній хімії, де вона зупиняється на дигідропіридиновій структурі.
- 2. Утворення піролів конденсацією (при нагріванні) ацетоацетатного естеру, α-галогенкетонів та амінів (або амоніяку).
- 3. Утворення тіазолів з α-галогенкетонів (або α-галогенальдегідів, α-галогенкислот, ацеталів α-галогенальдегідів) і тіоамідів (або солей та естерів дитіокарбамінової кислоти). Реакцію проводять при нагріванні в спиртах, воді, бензені, інших інертних розчинниках. Використовується в комбінаторній хімії.

1. Утворення піридинів циклоконденсацією естерів β-кетокислот з альдегідами та амоніаком з подальшою оксидацією інтермедіатного дигідропіридину.

2. Утворення піролів конденсацією (при нагріванні) ацетоацетатного естеру, α-галогенкетонів та амінів (або амоніяку).

3. Утворення тіазолів з α-галогенкетонів і тіоамідів.
Література
- Глосарій термінів з хімії // Й. Опейда, О. Швайка. Ін-т фізико-органічної хімії та вуглехімії ім. Л. М. Литвиненка НАН України, Донецький національний університет. — Донецьк: Вебер, 2008. — 758 с. — ISBN 978-966-335-206-0
This article is issued from Wikipedia. The text is licensed under Creative Commons - Attribution - Sharealike. Additional terms may apply for the media files.