Реакція Піннера
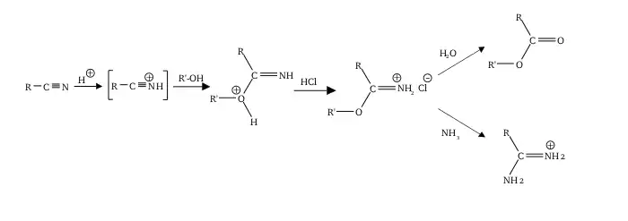
Реакція Піннера (англ. Pinner reaction) — отримання амідинів та орто-естерів. Полягає в синтезі іміно естерів (алкіл імідатів) додаванням сухого HCl до суміші нітрилу та абсолютного спирту. Наступна обробка алкілімідатів NH3, RNH2 або R2NH дає амідини, а спиртами — ортоестери.[1][2][3][4]

Література
- Глосарій термінів з хімії // Й. Опейда, О. Швайка. Ін-т фізико-органічної хімії та вуглехімії ім. Л. М. Литвиненка НАН України, Донецький національний університет. — Донецьк: Вебер, 2008. — 758 с. — ISBN 978-966-335-206-0
Примітки
- A. Pinner, F. Klein; Klein (1877). Umwandlung der Nitrile in Imide. Berichte der deutschen chemischen Gesellschaft 10 (2): 1889–1897. doi:10.1002/cber.187701002154.
- A. Pinner, Fr. Klein; Klein (1878). Umwandlung der Nitrile in Imide. Berichte der deutschen chemischen Gesellschaft 11 (2): 1475–1487. doi:10.1002/cber.18780110258.
- A. Pinner (1883). Ueber die Umwandlung der Nitrile in Imide. Berichte der deutschen chemischen Gesellschaft 16 (2): 1643–1655. doi:10.1002/cber.18830160235.
- Roger, R.; Neilson, D. G. (1961). The Chemistry of Imidates. Chem. Rev. 61 (2): 179–211. doi:10.1021/cr60210a003.
This article is issued from Wikipedia. The text is licensed under Creative Commons - Attribution - Sharealike. Additional terms may apply for the media files.