Синтез скінченних автоматів
Задача синтезу скінченного автомата полягає в створенні такого автомата акцептора, який би розпізнавав дану регулярну мову.
Конструкція Томпсона
Конструкція Томпсона - це спосіб побудови НДСкА який розпізнає мову заданого регулярного виразу. Придуманий Кеном Томпсоном для реалізації регулярних виразів в текстовому редакторі QED для Compatible Time-Sharing System.
| Регулярний вираз | Відповідна йому регулярна мова | Відповідний йому НДСкА |
|---|---|---|
![]() | ||
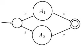
| - різні регулярні вирази | - різні мови | } - автомати що не містять спільних станів |
Заключний стан в об'єднанні єдиний! Заключні стани обох автоматів перестають бути заключними. | ||
Хоча краще злити вхід і заключний стан | ||
![]() |
Варто також зауважити, що автомат зручніше будувати, коли регулярний вираз записаний у формі ПОЛІЗ.
Перед тим як застосовувати автомат для перевірки рядків на відповідність шаблону, його детермінізують та мінімізують.
Посилання
- Hopcroft, John E.; Motwani, Rajeev; Ullman, Jeffrey D. (2001). Introduction to Automata Theory, Languages, and Computation (вид. 2). Addison-Wesley.
- Russ Cox Regular Expression Matching Can Be Simple And Fast (англ.)
- Відео з поясненням конструкції Томпсона (YouTube) (англ.)
This article is issued from Wikipedia. The text is licensed under Creative Commons - Attribution - Sharealike. Additional terms may apply for the media files.




