Сіяньпін
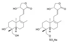
Сіяньпін (англ. Xiyanping, кит. 喜炎平) — протизапальний та противірусний препарат, який розроблений та застосовується в Китаї. Він є напівсинтетичним ін'єкційним препаратом, похідним активного складника рослини Andrographis paniculata (кит. 穿心蓮)[1], яка застосовується в традиційній китайській медицині.[2] Структурна формула препарату описується як 9-дегідро-17-гідро-андрографолід або 9-дегідро-17-гідро-андрографолід-19-ілсульфат натрію.[3] Сіяньпін застосовується для лікування хвороби «рука-нога-рот», діареї, інфекцій верхніх дихальних шляхів, та для лікування вірусної пневмонії[4][5][6][7], за даними одного з досліджень сіяньпін може застосовуватися для лікування гарячки Зіка.[8] Сіяньпін застосовується в схемах експериментального лікування коронавірусної хвороби 2019.[9]
![]() | |
| Систематична назва (IUPAC) | |
| 9-dehydro-17-hydro-andrographolide and sodium 9-dehydro-17-hydro-andrographolide-19-yl sulfate | |
| Ідентифікатори | |
| Номер CAS | ? |
| Код ATC | ? |
| PubChem | ? |
| Хімічні дані | |
| Формула | ? |
| Мол. маса | ? |
| Фармакокінетичні дані | |
| Біодоступність | ? |
| Метаболізм | ? |
| Період напіврозпаду | ? |
| Виділення | ? |
| Терапевтичні застереження | |
| Кат. вагітності |
? |
| Лег. статус | |
| Використання | внутрішньовенно |
Побічні ефекти
Внутрішньовенне введення сіяньпіну може супроводжуватися побічними ефектами, які типові для алергічної реакції, найчастіше еритемою та свербежем навколо місця ін'єкції[10], проте зрідка можуть виникати анафілактичні реакції, які можуть загрожувати життю. Андрографолід та його похідні також можуть спричинювати аборт[2], тому сіяньпін протипоказаний до застосування у вагітних.
Примітки
- Xiao XW, Fu HZ, Luo YH, Wei XY (2013). Potential anti-angiogenic sulfates of andrographolide. Journal of Asian Natural Products Research 15 (8): 809–18. PMID 23777373. doi:10.1080/10286020.2013.803473. (англ.)
- Chen JK, Chen TT (2012). Chapter 2, Chuan Xin Lian. Chinese Medical Herbology and Pharmacology. Art of Medicine Press. с. 214–215. ISBN 978-0-9740635-0-8. (англ.)
- Chong L, Chen W, Luo Y, Jiang Z (Липень 2013). Simultaneous determination of 9-dehydro-17-hydro-andrographolide and sodium 9-dehydro-17-hydro-andrographolide-19-yl sulfate in rat plasma by UHPLC-ESI-MS/MS after administration of xiyanping injection: application to a pharmacokinetic study. Biomedical Chromatography 27 (7): 825–30. PMID 23355108. doi:10.1002/bmc.2866. (англ.)
- Zhang P, Xu H, Ling L, Wu X (2012). Meta analysis of the efficacy of Xiyanping injection in the treatment of autumnal diarrhea in children.. Pharmaceutical Care and Research 12 (5): 349–353. doi:10.5428/pcar20120511. (англ.)
- Wang J, Ren JX, Xie YM, Wang WW, Hu J, Liao X (Вересень 2013). [Systematic review of xiyanping injection for hand foot mouth disease]. Zhongguo Zhong Yao Za Zhi = Zhongguo Zhongyao Zazhi = China Journal of Chinese Materia Medica (кит.) 38 (18): 3215–22. PMID 24471354.
- Wang ZF, Chen X, Zhang W, Xie YM (Вересень 2014). [Literature review on premarketing and postmarketing evidence of xiyanping injection]. Zhongguo Zhong Yao Za Zhi = Zhongguo Zhongyao Zazhi = China Journal of Chinese Materia Medica (кит.) 39 (18): 3637–40. PMID 25532411.
- Sun SG, Shi YF, Yan H, Li Y, Wang R, Wang SH, Sun XD. Xiyanping Injection in Treatment of Viral Pneumonia in Children: A Meta-analysis of Random Control Trials. Chinese Herbal Medicines. 2015 May; 7(2):173-178. doi: 10.1016/S1674-6384(15)60035-1 (англ.)
- Deng Y, Zeng L, Bao W, Xu P, Zhong G (Лютий 2016). [Experience of integrated traditional Chinese and Western medicine in first case of imported Zika virus disease in China]. Zhonghua Wei Zhong Bing Ji Jiu Yi Xue (кит.) 28 (2): 106–9. PMID 26911940. doi:10.3760/cma.j.issn.2095-4352.2016.02.005.
- WHO. Off-label use of medicines for COVID-19. Scientific brief (англ.)
- Wang ZF, Xiang YY, Xie YM (Вересень 2013). [Research on early warning signals of adverse drug reactions to parenterally administered xiyanping based on spontaneous reporting system (SRS) data]. Zhongguo Zhong Yao Za Zhi = Zhongguo Zhongyao Zazhi = China Journal of Chinese Materia Medica (кит.) 38 (18): 3008–12. PMID 24471321.
