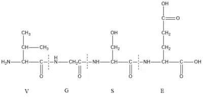
Тетрапептид VGSE
Тетрапептид Val-Gly-Ser-Glu містить чотири амінокислотних залишки (валін-гліцин-серин-глутамінова кислота).

Val-Gly-Ser-Glu (VGSE)
Біологічна функція
Проявляє хемотаксичну активність in vitro у відношенні еозинофілів людини у концентраціях від M до М.[1]
Примітки
- E.J.Goetzl, K.F.Austen - STRUCTURAL DETERMINANTS OF THE EOSINOPHIL CHEMOTACTIC ACTIVITY OF THE ACIDIC TETRAPEPTIDES OF EOSINOPHIL CHEMOTACTIC FACTOR OF ANAPHYLAXIS.
This article is issued from Wikipedia. The text is licensed under Creative Commons - Attribution - Sharealike. Additional terms may apply for the media files.