Токоферол
Токофероли (від дав.-гр. τόκος — «дітонародження», і φέρειν — «приносити») — клас хімічних сполук, метиловані феноли.
Загальні відомості
Багато токоферолів, а також відповідні їм токотрієноли, є біологічно активними і в сукупності називаються вітаміном E.
Відомо чотири форми токоферола — альфа, бета, гамма і дельта. Всі ці близькоспоріднені сполуки схожі за хімічною структурою з хлорофілом — зеленим пігментом рослин. Мабуть, найактивніший альфа-токоферол.
Токофероли зареєстровані як харчові додатки E306 (суміш токоферолів),E307 (α-токоферол),E308 (γ-токоферол) та E309 (δ-токоферол).
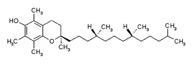
Структура

В основі всіх токоферолів лежить хроманольне кільце, до якого приєднані:
- гідроксильна група, що легко віддає атом водню в реакціях з вільними радикалами і цим відновлює їх, захищаючи інші органічні сполуки від окиснення;
- гідрофобний вуглеводневий ланцюг, що полегшує проникнення крізь біологічні мембрани (у токотрієнолах, на відміну від токоферолів, цей ланцюжок містить подвійний зв'язок);
- нуль, дві або три метильної групи, місце приєднання яких сильно впливає на біологічну активність.
Згідно з кількістю та місцем приєднання метильних груп розрізняють α-токоферол,β-токоферол,γ-токоферол і δ-токоферол (див. малюнок).

Стереоізомерія вуглеводневого ланцюга також сильно впливає на біологічну активність токоферолів. Найактивнішоюю є природна форма — (RRR) -α-токоферол.
Біологічні властивості
Токофероли запобігають окисненню ненасичених жирних кислот, сприятливо діють на функцію статевих залоз, стимулюють діяльність м'язової системи. Ця група вітамінів також сприяє засвоєнню ретинолу та ергокальциферолу, білків, жирів, вуглеводів. Токофероли (лінолева, ліноленова та арахідонова кислоти) містяться в рослинних оліях: бавовняній, кукурудзяній, соняшниковій. Їх знайдено у квасолі, зеленому горошку, шпинаті, абрикосах та персиках. Добова потреба організму людини в них 12-15 мг. Токофероли застосовують для лікування атеросклерозу, екзем, трофічних виразок, задавнених ран. Препарати альфа-токоферолу необхідні для нормальної лактації, розмноження, зокрема збереження вагітності, для лікування гіпертонічної хвороби та ішемічної хвороби серця.[1] Було документально підтверджено, що похідне токоферолу з вкороченим бічним ланцюгом індукує апоптоз пухлинних клітин, змінює потенціал мітохондріальної мембрани, а також регулює певні апоптотичні білки, що відносяться до факторів росту. [2].
Вітамін E накопичується головним чином в жировій тканині.
Примітки
- Товстуха Є. С. Фітотерапія. — Київ : «Здоров'я», 1990. — 304 с. — ISBN 5-311-00418-5.
- Gok S, Kuzmenko O, Babinskyi A, Severcan F (January 2021). Vitamin E Derivative with Modified Side Chain Induced Apoptosis by Modulating the Cellular Lipids and Membrane Dynamics in MCF7 Cells. Cell Biochemistry and Biophysics 79 (2): 271–87. PMID 33442824. doi:10.1007/s12013-020-00961-y.
Посилання
- Токофероли // Універсальний словник-енциклопедія. — 4-те вид. — К. : Тека, 2006.
- АЛЬФА-ТОКОФЕРОЛ
- ТОКОФЕРОЛ
- ТОКОФЕРОЛИ