Транзитивне скорочення
Транзитивне скорочення бінарного відношення на множині — це найменше відношення на множині , транзитивне замикання якого збігається з транзитивним замиканням .
«Найменше відношення» визначається за допомогою відношення включення.
Якщо транзитивне замикання є антисиметричним та скінченним, тоді транизитивне скорочення буде єдиним.
Приклади
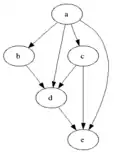
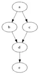
В теорії графів бінарне відношення на множині представляється орієнтованим графом. На малюнках: граф нетранзитивного відношення (зліва), граф його транзитивного скорочення (справа).
![]() |
![]() |
Джерела
- Куратовский К., Мостовский А. Теория множеств. — Москва : Мир, 1970. — 416 с.(рос.)
- Ван дер Варден Б. Л. Алгебра. — Москва : Наука, 1975. — 623 с. — ISBN 5-8114-0552-9.(рос.)
This article is issued from Wikipedia. The text is licensed under Creative Commons - Attribution - Sharealike. Additional terms may apply for the media files.

