Узагальнений розподіл Парето
У статистиці, в узагальнений розподіл Парето (УРП, англ. Generalized Pareto distribution) — це сімейство неперервних імовірнісних розподілів. Він часто використовується для моделювання хвостів інших розподілів. Він визначається трьома параметрами: параметром розташування , масштабу і форми [1][2]. Іноді він визначається тільки параметром масштабу і форми[3], а іноді тільки параметром форми. Деякі джерела подають параметр форми у вигляді .[4]
| Узагальнений розподіл Парето | |
|---|---|
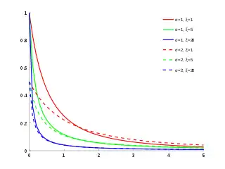
![]() Функція розподілу УРП для і різних значень та | |
|
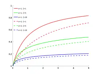
Функція розподілу ймовірностей ![]() | |
| Параметри |
зсув (дійсний) |
| Носій функції |
|
| Розподіл імовірностей |
|
| Функція розподілу ймовірностей (cdf) | |
| Середнє | |
| Медіана | |
| Мода | |
| Дисперсія | |
| Коефіцієнт асиметрії | |
| Коефіцієнт ексцесу | |
| Ентропія | |
| Твірна функція моментів (mgf) | |
| Характеристична функція | {{{char}}} |
Характеристика
Пов'язані місцевості-масштаб сімейство розподілів, отриманих шляхом заміни аргументу Z з допомогою і регулювання підтримки відповідно: кумулятивна функція розподілу це
для коли та при , де , і .
- ,
або еквівалентно
- ,
знову, для при , і при .
Функція щільності є розв'язком диференційного рівняння:
Особливі випадки
- Якщо параметри форми і локалізації обидва рівні нулю, УРП є експоненційним розподілом.
- Якщо параметр форми , а параметр розташування , тоді УРП еквівалентний розподілу Парето з параметрами масштабу і форми .
- Якщо , , тоді , , , де exGPD є експоненційний узагальнений розподіл Парето. На відміну від УРП, exGPD має моменти всіх порядків, незалежно від його параметрів та інтерпретацій параметрів масштабу і форми, що робить оцінки параметрів більш ефективними.
- УРП дуже схожий на Картавий розподілу.
Генерація узагальнено Парето розподілених випадкових величин
Якщо U є рівномірно розподіленою на (0, 1], тоді
і
Обидві формули отримані шляхом інверсії СГО.
У статистичних пакеті MATLAB, легко можна згенерувати вибірку узагальнено Парето розподілених випадкових чисел використовуючи команду "gprnd".
УРП як експоненційно-гамма суміш розподілів
В УРП випадкова величина може бути виражена у вигляді експоненційної випадкової величини з гамма-розподіленим параметром інтенсивности.
і
тоді
Однак зауважимо, що оскільки параметри гамма розподілу має бути більшим нуля, ми отримаємо додаткові обмеження: має бути позитивним.
Див. також
- Розподіл задирок
- Розподіл Парето
- GAV розподіл
- Пикандса–Балкемы–теорема де Хаан
Посилання
- Coles, Stuart (12 грудня 2001). An Introduction to Statistical Modeling of Extreme Values. Springer. с. 75. ISBN 9781852334598. (англ.)
- Dargahi-Noubary, G. R. (1989). On tail estimation: An improved method. Mathematical Geology 21 (8): 829–842. doi:10.1007/BF00894450. (англ.)
- Hosking, J. R. M.; Wallis, J. R. (1987). Parameter and Quantile Estimation for the Generalized Pareto Distribution. Technometrics 29 (3): 339–349. doi:10.2307/1269343. (англ.)
- Davison, A. C. (30 вересня 1984). Modelling Excesses over High Thresholds, with an Application. У de Oliveira, J. Tiago. Statistical Extremes and Applications. Kluwer. с. 462. ISBN 9789027718044.
- Embrechts, Paul; Klüppelberg, Claudia; Mikosch, Thomas (1 січня 1997). Modelling extremal events for insurance and finance. с. 162. ISBN 9783540609315.
Додаткова література
- Pickands, James (1975). Statistical inference using extreme order statistics. Annals of Statistics 3: 119–131. doi:10.1214/aos/1176343003. (англ.)
- Balkema, A.; De Haan, Laurens (1974). Residual life time at great age. Annals of Probability 2 (5): 792–804. doi:10.1214/aop/1176996548. (англ.)
- Lee, Se Yoon; Kim, J.H.K. (2018). Exponentiated generalized Pareto distribution:Properties and applications towards extreme value theory. Communications in Statistics - Theory and Methods 0: 1–25. doi:10.1080/03610926.2018.1441418. (англ.)
- N. L. Johnson; S. Kotz; N. Balakrishnan (1994). Continuous Univariate Distributions Volume 1, second edition. New York: Wiley. ISBN 0-471-58495-9. Chapter 20, Section 12: Generalized Pareto Distributions. (англ.)
- Barry C. Arnold (2011). Chapter 7: Pareto and Generalized Pareto Distributions. У Duangkamon Chotikapanich. Modeling Distributions and Lorenz Curves. New York: Springer. ISBN 9780387727967. (англ.)
- Arnold, B. C.; Laguna, L. (1977). On generalized Pareto distributions with applications to income data. Ames, Iowa: Iowa State University, Department of Economics. (англ.)

