Фосфатидилсерин
Фосфатидилсерин (скорочено PS) — фософоліпідний компонент клітинних мембран, що містить фосфатну групу зв'язану з амінокислотою серином.

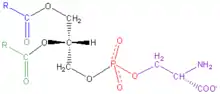
З хімічної точки зору, фосфатидилсерин є сумішшю ліпідів, які різняться залишками жирних кислот. Найпоширенішим фосфатидилсериновим ліпідом клітин є POPS (пальмітоїлолеоїлфосфатидилсерин). При біологічних значеннях pH фосфатидилсеринові ліпіди мають негативний заряд. В клітинних мембранах вони зосереджені на внутрішній (цитозольній) частині завдяки дії ферменту фліпази. Втрата асиметрії розподілу фосфатидилсеринових ліпідів між внутрішниім та зовнішнім шаром клітинної мембрани є ознакою апоптозу (припинення функцонування клітини) й сигналом для її знищення макрофагами. Фосфатидилсерин використовується як харчова добавка.