Фотореакція Норріша
Фотореакція Норріша (англ. Norish photoreaction, рос. фотореакция Норриша) — хімічна реакція. Підрозділяється на реакцію Норріша типу 1 і реакцію Норріша типу 2.[1] Названа на честь англійського хіміка, лауреата Нобелівської премії Роналда Норріша.
Фотореакція Норріша типу 1

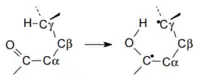
Фотореакція Норріша типу 1 — внутрімолекулярний відрив γ-H-атома збудженою карбонільною групою сполуки з утворенням 1,4-бірадикала як первинного фотопродукту.
Фотореакція Норріша типу 2

Фотореакція Норріша типу 2 — α-розщеплення збудженої карбонільної сполуки, яке веде до ацил-алкільної радикальної пари (з ациклічної карбонільної сполуки) або до ацил-алкільного бірадикала (з циклічної карбонільної сполуки) як первинних фотопродуктів.
Примітки
- Named Organic Reactions, 2nd Edition, Thomas Laue and Andreas Plagens, John Wiley & Sons: Chichester, England, New York, 2005. 320 pp. ISBN 0-470-01041-X (англ.)
Джерела
- Глосарій термінів з хімії / уклад. Й. Опейда, О. Швайка ; Ін-т фізико-органічної хімії та вуглехімії ім. Л. М. Литвиненка НАН України, Донецький національний університет. — Дон. : Вебер, 2008. — 738 с. — ISBN 978-966-335-206-0.
This article is issued from Wikipedia. The text is licensed under Creative Commons - Attribution - Sharealike. Additional terms may apply for the media files.