Фталилсульфатіазол
Фталилсульфатіазол — синтетичний антибактеріальний препарат з групи сульфаніламідних препаратів для перорального застосування.
![]() | |
|---|---|
Фталилсульфатіазол
| |
| Систематизована назва за IUPAC | |
| 2-[({4-[(1,3-thiazol-2-ylamino)sulfonyl]phenyl}amino)carbonyl]benzoic acid | |
| Класифікація | |
| ATC-код | A07 |
| PubChem | |
| CAS | |
| DrugBank | |
| Хімічна структура | |
| Формула | C17H13N3O5S2 |
| Мол. маса | 403,4 г/моль |
| Фармакокінетика | |
| Біодоступність | 5-10% |
| Метаболізм | Печінка |
| Період напіввиведення | НД |
| Екскреція | Нирки, фекалії |
| Реєстрація лікарського засобу в Україні | |
| Назва, фірма-виробник, країна, номер реєстрації, дата | ФТАЛАЗОЛ, ПАТ«Хімфармзавод«Червона зірка»,Україна UA/7925/01/01 01.03.2013-01/03/2018 |
Фармакологічні властивості
Фталилсульфатіазол — синтетичний препарат з групи сульфаніламідних препаратів. Препарат має бактеріостатичну дію, що полягає у порушенні синтезу мікроорганізмами фолієвої кислоти та блокуванні засвоєння мікроорганізмами параамінобензойної кислоти. До сульфаніламіду чутливі наступні збудники: стафілококи, стрептококи, нейсерії, Escherichia coli, сальмонели, шиґели, Pseudomonas spp., Proteus spp. та деякі хламідії. Інші збудники до препарату нечутливі. При прийомі всередину препарат повільно всмоктується в шлунково-кишковому тракті, біодоступність фталилсульфатіазолу складає лише 5 %. Більша частина препарату затримується в тонкому кишечнику, де проходить відщеплення від молекули препарату активної сульфаніламідної частини та створюєтся висока концентрація сульфаніламіду в кишківнику. Виділяється фталилсульфатіазол переважно з калом в незміненому вигляді. Частина препарату, що всмокталась в шлунково-кишковому тракті, рівномірно розподіляється в організмі та метаболізується в печінці. Фталилсульфатіазол проникає через плацентарний бар'єр та виділяється в грудне молоко. Період напіввиведення препарату не досліджений.
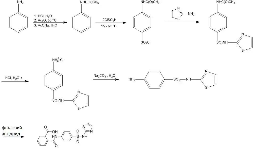
Отримання

Передостанній у ланцюгу, норсульфазол, використовувався для лікування пневмонії.
Показання до застосування
Фталилсульфатіазол показаний при коліті, гастроентероколіті, для деконтамінації кишечника перед хірургічними втручаннями.
Побічна дія
При застосуванні фталилсульфатіазолу рідко спостерігаються наступні побічні ефекти: висипання на шкірі, свербіж шкіри, гарячка, агранулоцитоз, апластична анемія, гіповітаміноз вітамінів групи В (внаслідок пригнічення кишкової мікрофлори).
Протипокази
Фталилсульфатіазол протипоказаний при підвищеній чутливості до сульфаніламідних препаратів, гіпотиреозі, захворюваннях крові, гострому гепатиті, вагітності та годуванні грудьми. З обережністю застосовують препарат при захворюваннях нирок.
Форми випуску
Фталилсульфатіазол випускається у вигляді таблеток по 0,5 г.
Література
- Фармацевтична хімія : [арх. 11 березня 2021] : підручник / ред. П. О. Безуглий. — Вінниця : Нова Книга, 2008. — 560 с. — ISBN 978-966-382-113-9. (С.?)
- Фармакологія: підручник / І. В. Нековаль, Т. В. Казанюк. — 4-е вид., виправл. — К.: ВСВ «Медицина», 2011.— 520 с. ISBN 978-617-505-147-4 (С.?)
