Цефаліни
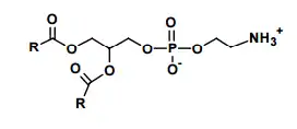
Цефаліни (англ. cephalins, рос. цефалины) — сполуки, похідні гліцеролу, в якого одна первинна й вторинна гідроксигрупи естерифіковані довголанцюговими жирними кислотами, а та первинна, що залишилися — моно(2-аміноетил) естером фосфатної кислоти або моносериновим естером фосфатної кислоти. Термін «цефаліни» не рекомендується IUPAC.

Джерела
- Глосарій термінів з хімії / уклад. Й. Опейда, О. Швайка ; Ін-т фізико-органічної хімії та вуглехімії ім. Л. М. Литвиненка НАН України, Донецький національний університет. — Дон. : Вебер, 2008. — 738 с. — ISBN 978-966-335-206-0.
This article is issued from Wikipedia. The text is licensed under Creative Commons - Attribution - Sharealike. Additional terms may apply for the media files.