Цис-гідроксилювання за Вудвордом
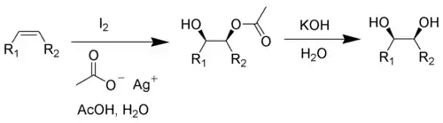
Цис-гідроксилюва́ння за Ву́двордом — гідроксилювання олефінів дією йоду та аргентум ацетату в зволоженій ацетатній кислоті, що відбувається з утворенням цис-гліколів. Реакція названа на честь її першовідкривача — Роберта Бернса Вудворда.
Реакція знайшла застосування в цис-гідроксилюванні подвійних зв'язків у деяких стероїдних сполук[1].
Примітки
- Mangoni, L.; Dovinola, V. (1969). The stereochemistry of woodward cis-hydroxylation in some steroidal olefins. Tetrahedron Letters 10 (60): 5235–5238. ISSN 00404039. doi:10.1016/S0040-4039(01)88931-0.
Джерела
- Глосарій термінів з хімії / уклад. Й. Опейда, О. Швайка ; Ін-т фізико-органічної хімії та вуглехімії ім. Л. М. Литвиненка НАН України, Донецький національний університет. — Дон. : Вебер, 2008. — 738 с. — ISBN 978-966-335-206-0.
This article is issued from Wikipedia. The text is licensed under Creative Commons - Attribution - Sharealike. Additional terms may apply for the media files.
