1,3-диполь
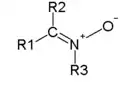
1,3-диполь (англ. 1,3-dipole) — молекулярна частинка, що звичайно є гетеродієном (часто гетероциклом) і становить нейтральну чотириелектронну триатомну π-систему (тріаду). У рамках теорії валентних зв'язків може бути зображеною тільки за допомогою диполярних резонансних структур. Проте, як правило, не відзначається високим дипольним моментом (пр., для дифеніл-діазометану 1.42 Д). Якщо центральним атомом тріади є гетероатом, то це 1,3-диполь з октетною стабілізацією (пр., азиди а, озон б), якщо атом C — 1,3-диполь без октетної стабілізації (пр., імінокарбени).
![]() ![]() |
| From top to bottom, azides, nitrones, and nitro compounds are examples of 1,3-dipoles. |
Може бути лінійною з подвійним зв'язком (а).
–N+–N=N– ↔N=N+=N- (а)
або зігнутою (б)

Література
- Глосарій термінів з хімії / уклад. Й. Опейда, О. Швайка ; Ін-т фізико-органічної хімії та вуглехімії ім. Л. М. Литвиненка НАН України, Донецький національний університет. — Дон. : Вебер, 2008. — 738 с. — ISBN 978-966-335-206-0.
This article is issued from Wikipedia. The text is licensed under Creative Commons - Attribution - Sharealike. Additional terms may apply for the media files.

