1,4-Діоксан
1,4-Діоксан (англ. 1,4-dioxane) — аліциклічний діетер, що також є гетероциклічною органічною сполукою. Використовується зазвичай як органічний розчинник.
| Структурна формула | ||||||||||||||||||||||||||||
|---|---|---|---|---|---|---|---|---|---|---|---|---|---|---|---|---|---|---|---|---|---|---|---|---|---|---|---|---|
![]() | ||||||||||||||||||||||||||||
| Загальна інформація | ||||||||||||||||||||||||||||
| Преференційна назва ІЮПАК | 1,4-Діоксан | |||||||||||||||||||||||||||
| Систематична назва ІЮПАК | 1,4-Діоксан | |||||||||||||||||||||||||||
| Інші назви |
| |||||||||||||||||||||||||||
| Хімічна формула | C4H8O2 | |||||||||||||||||||||||||||
| 3D Структура (JSmol) | Інтерактивне зображення | |||||||||||||||||||||||||||
| Зовнішні ідентифікатори / Бази даних | ||||||||||||||||||||||||||||
| ||||||||||||||||||||||||||||
| Властивості | ||||||||||||||||||||||||||||
| Молярна маса | 88.11 г·моль−1 | |||||||||||||||||||||||||||
| Агрегатний стан |
Рідина | |||||||||||||||||||||||||||
| Густина |
1.03 г·см-3[1] | |||||||||||||||||||||||||||
| Температура плавлення |
10 °C[1] | |||||||||||||||||||||||||||
| Температура кипіння |
101 °C[1] | |||||||||||||||||||||||||||
| Тиск насиченої пари |
| |||||||||||||||||||||||||||
| Розчинність |
Змішуєтьтся з водою, етанолом, діетиловим етером, ацетоном, бензеном.[2] | |||||||||||||||||||||||||||
| Дипольний момент | ||||||||||||||||||||||||||||
| Коефіцієнт заломлення |
1.4224 (20 °C)[2] | |||||||||||||||||||||||||||
| Термодинамічні властивості | ||||||||||||||||||||||||||||
| ΔfH⦵298 |
-353.9 кДж·моль-1[2] | |||||||||||||||||||||||||||
| Безпека | ||||||||||||||||||||||||||||
| Маркування згідно системі УГС
Небезпека | ||||||||||||||||||||||||||||
| H-фрази | H: H225, H319, H335, H351 | |||||||||||||||||||||||||||
| P-фрази | P: P210, P261, P281, P305+P351+P338 | |||||||||||||||||||||||||||
| EUH-фрази | EUH: EUH019, EUH066 | |||||||||||||||||||||||||||
| LD50 |
| |||||||||||||||||||||||||||
| Наскільки це можливо, значення величин подані в одиницях системи SI. Якщо не вказано іншого, усі дані відносяться до стандартного стану. | ||||||||||||||||||||||||||||
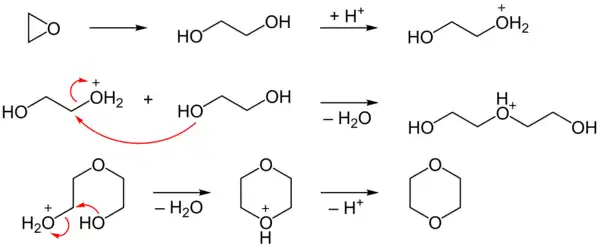
Отримання
В промисловому масштабі 1,4-діоксан отримують шляхом кислотно-каталізованої дегідратації етиленгліколя, що, в свою чергу, можна отримати з етиленоксиду.

Також 1,4-діоксан часто утворюється як побічний продукт у всіх кислотно-каталізованих реакціях етиленгліколю.
Властивості

Фізичні властивості
1,4-Діоксан - безбарвна й летка рідина. Він змішується з більшістю органічних розчинників, а також із водою. Суміш діоксан/вода, що містить 82.1 масових відсотків діоксану, утворює азеотропну суміш, яка кипить при 87.6 °C.[3]
Молекула 1,4-діоксану, як і молекули циклогексану або піраноз, знаходиться переважно в конформації крісла; однак, дипольний момент у 0.45 D обумовлено проявом інших конформерів, особливо конформації човника.
Параметри безпеки
Діоксан утворює легкозаймисті пароповітряні суміші. Ця сполука спалахує вже при 11 °С і займається при 375 °С.[4]
Примітки
- Внесок про 1,4-діоксан в базі даних GESTIS
- W. M. Haynes, CRC Handbook of Chemistry and Physics, 97th Edition, CRC Press, 2016-2017
- C. H. Schneider, C. C. Lynch: The Ternary System: Dioxane-Ethanol-Water. In: J. Am. Chem. Soc. 65 (6), 1943, S. 1063–1066, DOI:10.1021/ja01246a015.
- E. Brandes, W. Möller: Sicherheitstechnische Kenngrößen. Band 1: Brennbare Flüssigkeiten und Gase. Wirtschaftsverlag NW – Verlag für neue Wissenschaft, Bremerhaven 2003.




