Acraea horta
Acraea horta Linnaeus, 1764, акрея горта, акрея садова — денний метелик підродини Heliconiinae родини сонцевики. Ареал охоплює Південну Африку.
? Acraea horta | ||||||||||||||
|---|---|---|---|---|---|---|---|---|---|---|---|---|---|---|
![]() Acraea horta | ||||||||||||||
| Біологічна класифікація | ||||||||||||||
| ||||||||||||||
| Acraea horta (Linnaeus, 1764) | ||||||||||||||
| Синоніми | ||||||||||||||
* Papilio horta Linnaeus, 1764
| ||||||||||||||
Посилання | ||||||||||||||
| ||||||||||||||
Опис
Розмах крил від 45 до 50 мм для самців і 49-53 міліметри для самиць. Передні крила в особин обох статей майже прозорі. Задні крила самців яскраві, червоно-чорні. У самиць — від світло-брунатних до жовтих і жовтогарячих. Колір залежить від ступеня окислення пігменту ксантоматіну.

Спосіб життя
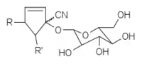
Активні весь рік. Яйця відкладають щільним шаром, одне до іншого, до 200 яєць в одній кладці.[1] Гусениці вкриті отруйними розгалуженими шипами. Живляться отруйним диким персиком (Kiggelaria africana), пасифлорами, Tacsonia. Метелик також неїстівний. Тканини гусені і метелика містять ціаноглікозид гінокардин, який комаха отримує, поїдаючи листя дикого персика.[2]

Незважаючи на отруйність, виявлено значну кількість паразитів акреї, зокрема на гусені живляться їздці Apanteles acraea і Charops sp., на лялечці паразитують хальцидіда Brachymeria kassallensis і мухи-тахіни (Tachinidae)[3]
Поширення
Зустрічається в Південній Африці, Зімбабве. Літає в парках, садах, вологих місцях.
Модельний об'єкт генетики
Генетику метелика досліджував відомий ембріолог Борис Балінський. Він встановив, що колір крил самиць не детермінований генетично, а змінюється в рамках норми реакції. Також він досліджував вплив мутагенезу на зміну рисунку крапок на крилах метеликів.
Примітки
- Graham A Henning. Survival strategies in the Acraeinae (Lepidoptera: Nymphalidae)1993, Metamorphosis Volume 4, Issue 3: 100–106
- Raubenheimer, David (1989). Cyanoglycoside gynocardin from Acraea horta (L.) (Lepidoptera: Acraeinae). Journal of Chemical Ecology 15 (8): 2177–2189. ISSN 0098-0331. doi:10.1007/BF01014108.
- Claasens, A.J.M., 1991. Parasitoids of the garden acraea, Acraea horta (Linnaeus 1764). Metamorphosis 2(4):24-28
Джерела
- Акрея горта на сайті danaida.ru
- Акрея горта на сайті mypets.by
- Acraea horta
- Fabian B. Balinsky's Darwinian roots. S. Afr. j. sci. . 2009 Dec; 105(11-12): 410–414
